
作者 | G-kdom
编辑 | 唐里
本文转自知乎作者G-kdom文章:常用的 Normalization 方法:BN、LN、IN、GN。AI科技评论获授权转载,如需转载请联系原作者。
文章地址:
https://zhuanlan.zhihu.com/p/72589565

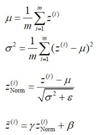
比喻成一摞书,这摞书总共有 N 本,每本有 C 页,每页有 H 行,每行 有W 个字符。沿着通道计算每个batch的均值μ
沿着通道计算每个batch的方差σ²
做归一化
加入缩放和平移变量 γ 和 β

。加入缩放和平移变量的原因是:保证每一次数据经过归一化后还保留原有学习来的特征,同时又能完成归一化操作,加速训练。 这两个参数是用来学习的参数。BN的作用:
(1)允许较大的学习率;
(2)减弱对初始化的强依赖性
(3)保持隐藏层中数值的均值、方差不变,让数值更稳定,为后面网络提供坚实的基础;
(4)有轻微的正则化作用(相当于给隐藏层加入噪声,类似Dropout)
BN存在的问题:
(1)每次是在一个batch上计算均值、方差,如果batch size太小,则计算的均值、方差不足以代表整个数据分布。
(2)batch size太大:会超过内存容量;需要跑更多的epoch,导致总训练时间变长;会直接固定梯度下降的方向,导致很难更新。
二、 Layer Normalization, LN
论文链接:https://arxiv.org/pdf/1607.06450v1.pdf
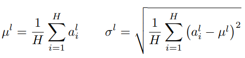
针对BN不适用于深度不固定的网络(sequence长度不一致,如RNN),LN对深度网络的某一层的所有神经元的输入按以下公式进行normalization操作。

,LN 对每个样本的 C、H、W 维度上的数据求均值和标准差,保留 N 维度。其均值和标准差公式为:
Layer Normalization (LN) 的一个优势是不需要批训练,在单条数据内部就能归一化。LN不依赖于batch size和输入sequence的长度,因此可以用于batch size为1和RNN中。LN用于RNN效果比较明显,但是在CNN上,效果不如BN。
三、 Instance Normalization, IN
论文链接:https://arxiv.org/pdf/1607.08022.pdf
IN针对图像像素做normalization,最初用于图像的风格化迁移。在图像风格化中,生成结果主要依赖于某个图像实例,feature map 的各个 channel 的均值和方差会影响到最终生成图像的风格。所以对整个batch归一化不适合图像风格化中,因而对H、W做归一化。可以加速模型收敛,并且保持每个图像实例之间的独立。
对于,IN 对每个样本的 H、W 维度的数据求均值和标准差,保留 N 、C 维度,也就是说,它只在 channel 内部求均值和标准差,其公式如下:

论文链接:https://arxiv.org/pdf/1803.08494.pdf
GN是为了解决BN对较小的mini-batch size效果差的问题。GN适用于占用显存比较大的任务,例如图像分割。对这类任务,可能 batch size 只能是个位数,再大显存就不够用了。而当 batch size 是个位数时,BN 的表现很差,因为没办法通过几个样本的数据量,来近似总体的均值和标准差。GN 也是独立于 batch 的,它是 LN 和 IN 的折中。
的均值和方差,这样就与batch size无关,不受其约束。

代码如下:
def GroupNorm(x, gamma, beta, G=16):
# x_shape:[N, C, H, W]
results = 0.
eps = 1e-5
x = np.reshape(x, (x.shape[0], G, x.shape[1]/16, x.shape[2], x.shape[3]))
x_mean = np.mean(x, axis=(2, 3, 4), keepdims=True)
x_var = np.var(x, axis=(2, 3, 4), keepdims=True0)
x_normalized = (x - x_mean) / np.sqrt(x_var + eps)
results = gamma * x_normalized + beta
return results总结
我们将feature map shape 记为[N, C, H, W]。如果把特征图
比喻成一摞书,这摞书总共有 N 本,每本有 C 页,每页有 H 行,每行 有W 个字符。


张钹院士:人工智能的魅力就是它永远在路上 | CCAI 2019
Facebook 自然语言处理新突破:新模型能力赶超人类 & 超难 NLP 新基准
巴赫涂鸦创作者 Anna Huang 现身上海,倾情讲解「音乐生成」两大算法
点击阅读原文,查看何恺明团队最新力作:群组归一化(Group Normalization)
朋友会在“发现-看一看”看到你“在看”的内容