
本文来自公众号:超级数学建模
微信号:supermodeling
物理公式就像是魔法一样,我们通过他,了解了世界的过去:宇宙的诞生,地球的年龄;也是通过他,我们也知道了未来:地球破灭的时刻,地外文明是否存在;通过他,看到了宇宙的终极命运。
遥望宇宙星空后,物理公式也带我们窥探原子世界,在原子世界中,我们找到了电子、中子,探索到了最大的能力源:原子能(核能)。
在过去的几个世纪里,每一次新公式的诞生,都意味着又开启了观察世界的新视角,历史的进程也就被改变了。
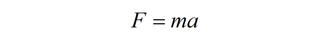
牛顿第二运动定律(1687年)

对于牛二,相信各位模友都应该很熟悉了,是的,基本上每个人的青春都被这条公式“摧残”过。
它说明了什么?力可以用质量乘以加速度来表示。
啥意思?!
这条公式给你解释了:为什么你推一个重箱子比推一个轻箱子容易的多呢!
牛顿第二定律最伟大的之处是在于定义了力,用物体的质量和加速度进行描述。
如同我在《从一到无穷大》(黑一下京东,买到的书就像盗版的)这本书看到这么一个小故事,故事就是说:两个贵族在比说数字大小,
其中一个贵族绞尽脑汁后说:3。另一人听到后,无奈地说:好吧,你赢了!
现在看这个故事可能会觉得很可笑,3怎么可能是最大的呢?!而在当时的环境下,所有人只知道“大”,却不知道怎么去描述大,意识形态里只认为3是最大的。
而牛顿第二定律定义力,解释力的大小该怎么去衡量。
在牛逼顿的运动定律中,还有:
第一运动定律就是惯性定律:是说一切物体在不受任何外力的作用下或所受合外力为零时,总是保持匀速直线运动状态或静止状态,直到有外力迫使它改变这种状态。
第三运动定律:相互作用的两个物体之间的作用力和反作用力总是大小相等,方向相反,作用在同一条直线上。
牛顿的三大运动定律构成经典力学的基础理论。

有了计算法则,可以让物理学家和工程师计算知道如何去测量力的大小。而在所有涉及力与运动的问题上,总会有这个公司的身影。
英国工业革命时代的到来,除了技术条件的到达,也少不了物理公式基于的知识基石。
通过这个公式,它会告诉你需要多么强大的发动机才能使一辆汽车行驶,或使得一架飞机飞起来,或让火箭飞向太空等等。
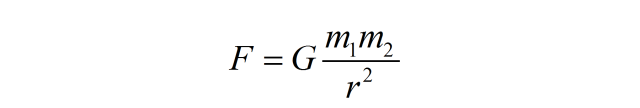
牛顿的万有引力定律(1687年)

别吵别吵,大家听着,这个公式是必考题,一定要记住,这个公式就是万有引力定律。
这个公式是什么呢?任意两个有质量的物体都会彼此吸引,但力的大小会随着彼此之间距离的增加而急速下降。
我和那个女生是彼此吸引的,不过因为距离远,引力不够大。
所以成功脱单的秘诀就是:靠近那个女生,不断减少距离,提高两个人的吸引力。
撩妹技能get!如果喜欢我,请靠近我!
想必大家都还记得那个砸在牛顿头上的苹果吧。
这苹果砸的真痛,请不要随意尝试!

从人类意识到太阳和月亮后,宇宙被分为两个领域——地球和其他天体。而牛顿所发现的万有引力定律则应用于一切领域。
这就好玩了,我们可以发现其实导致苹果从树上落下的力与地球围绕着太阳的力竟然是一样的。这两种完全无法想象到一起的力,竟然可以用同一个公式来表示,无一不感叹大自然的神奇。
由于地球上的物体(包括人类)的质量都很小,使得物体之间的吸引力并不够大(女生只要轻轻一推,距离就远了,哭)。所以当万有引力定律被发现之后,主要的用途都用在于行星轨道的计算。
直到人类的探索欲望想突破天际的时候,万用引力定律被应用到了载人航天和卫星计划中,将人类送到了遥远的月宫。
虽然牛顿发现了万有引力,但穷一生也无法了解引力为什么会这样(当发生无法理解的事情时,人类总会选择相信神鬼之说),或许这也是牛顿晚年寄托于神学的原因之一,
直到阿尔伯特·爱因斯坦在他的广义相对论中,解释了引力是有质量的物体弯曲时空而引起的。
即便如此,广义相对论也只应用极端的情况下。根据广义相对论,引力越强的地方,时间流逝得越慢,所以在卫星轨道设计的过程中,自然而然就要考虑时间差问题,要不一天时间下来,卫星就可能出现不可想象的误差。
但在大多数情况下(尤其在考试中),这个已有300多年历史的公式还是很好用的。
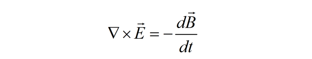
麦克斯韦方程(1831年和1865年)

对于这个公式,《无言的宇宙》一书中是这么评价:麦克斯韦方程是上帝之眼中看到的光。
为什么一个简单的方程有如此高的评价?
因为这个公式诠释的是:你可以用一个变化的磁场来产生一个变化的电场,也正因这个方程使得整个世界有了电。
从物理上看,完全解释了(经典)电磁现象的根源:
静态情况:电荷产生电场(Gauss Law),电流产生磁场(Ampere Law);
动态情况:变化的电场可以产生磁场(Maxwell-Ampere Law),变化的磁场也可以产生电场(Faraday Law)。
所以,(经典)电磁现象可以由电荷以及电荷的运动(电流)产生了电场、磁场、以及变化的电场和磁场(电磁场)来解释。
从数学上看,方程的形式很简洁,而大家最喜欢这种简洁的表达方式。
回看麦克斯韦方程诞生的历史:
在1831年,英国物理学家迈克尔·法拉第发现了电场与磁场之间的联系:一个变化的磁场可以使得附近的电线产生电流,这就是电磁感应现象。
后来,英国物理学家詹姆斯·克拉克·麦克斯韦把法拉第的电磁感应写进了他的4个电磁学基本方程里。

是的,确实是因为这个方程使得世界有了电。大多数发电机(不管是在风力涡轮机里,燃煤电厂里,还是水电站里)的工作原理,都是用机械能(风、蒸汽或水)去旋转磁体,进而产生电能。而当我们把这个过程反过来,就会发现这是电动机的原理。
而麦克斯韦方程组的所带来的影响远不止这些,麦克斯韦方程组几乎应用到电气工程、通讯技术和光学中的每一个领域。
正是麦克斯韦方程组等这些迷人的物理,让我们人类更加了解这个物质世界的本质,奠定了未来科技进步的坚实基础。
爱因斯坦的质能等价(1905年)

相信这个公式大家都应该看过,是的,就是爱因斯坦的质能方程。

首先,我们先来解释解释这个方程:能量等于质量乘以光速的平方。
啥意思呢……质量其实是一种超浓缩的能量。
超浓缩的能量,这个词便是质能方程最神奇之处。
公式中常数c代表着光的速度,而这个值的平方更是大的无法想象,正因如此,便出现了极少量的物质可以释放出巨大的能量(也就有了广岛的原子弹了)。
说起爱因斯坦的质能方程,自然免不了要说说原子弹。
事实上,质能方程最具影响力的应用便是原子弹,这个著名的公式阐明了:当一个不稳定的大原子核分裂成两个小的原子核时,会释放出大量的能量。因为两个较小的原子核的质量加在一起总是小于原来的大原子核,损失的质量被转化为能量。而这能量足以让一座城市被摧毁。
在二战期间,爱因斯坦本人曾给当时美国总统富兰克林·罗斯福写过一封信,信中建议罗斯福要尽快开展原子弹的研发,以防止德国纳粹研制出核武器,避免导致更多生命的逝去。
1945年7月15日,美国成功进行了人类历史上第一次核爆炸。可怕的是,在这颗试爆的原子弹里,只有大约一克的质量转化成能量,但释放出的能量大致相当于2万吨TNT爆炸时放出的能量。

二战末期,为了迫使日本投降,美国把两颗原子弹投在了日本领土上。然而,爱因斯坦在晚年曾表示,签署那封信是他生命中“一次巨大的错误”。
抛开战争,核能的合理使用也让我们感觉到了科学的价值。
想想看,此时质能方程+麦克斯韦方程双剑合璧,正在为小编的电脑不断提供着电力来源。
现实的复杂与公式的简洁,构成了不完美的科学,也正因为这种残缺的美,才会有不断完善的时候。
作为一名十八线网红,小编没法像各位科学界大牛那般改变世界,但我从来都没放弃过对梦想的追求,指不定哪天我也能成为一线网红。。。
生活真美好,不说了,我要约会去了。

编辑:时小七

朋友会在“发现-看一看”看到你“在看”的内容