

【研究背景】
持续控制大气中不断增长的CO2水平需要高效的方式来对其进行评估和再利用。将二氧化碳直接电化学转化为高价值的化学原料和燃料研究,目前还处于起步阶段。迄今,对催化剂的发展和机理研究,仍采用传统的纯CO或纯CO2进料。然而,碳基燃料的不完全燃烧总会产生混合的CO/CO2气体,这突出了电催化还原CO/CO2混合气技术的科学重要性。
【文章简介】
有鉴于此,柏林工业大学化学系Peter Strasser教授报道了铜基纳米催化剂对CO2/CO共进料催化反应活性的机理研究。通过原位微分电化学质谱(DEMS)毛细管流动池,进行动态同位素标记实验,结果显示在交叉耦合的12CO2-13CO反应途径中, C2H4的产量意外增加了近50%。这说明在含有反应特定位点的反应表面,CO2和CO分子之间不存在位点竞争。该研究成果以Mechanistic reaction pathways of enhanced ethylene yields during electroreduction of CO2–CO co-feeds on Cu and Cu-tandem electrocatalysts为题,发表在国际期刊Nature Nanotechnology上。
【文章详情】

图1 本研究中使用的CuOx NPs的形态、结构和基本特征。
为了研究CO/CO2共进料条件下的CO2RR动力学、产率和机制,作者制备了球形氧化铜纳米颗粒(NP)催化剂。图1a-c显示了球形CuOx NPs的透射电镜(TEM)图像、粒径分布和扫描透射电镜/X射线能谱(STEM/X-EDS)图。图1b中的元素分布图,证明了CuOx NPs的富氧表面,由于外层氧化铜的钝化作用,NPs中心存在的金属铜得以保存。图1c为CuOxNP的粒径分布,其平均直径为9.4±1.1 nm。高能X射线衍射分析(HE-XRD)证实了晶体结构中畸变的存在,揭示了三个晶相的共存,面心立方结构金属Cu为18.0±2.9 wt%,立方Cu2O为33.4±5.3 wt%,单斜晶为CuO39.2±6.2 wt%。Cu2O1–x中的氧占有率仅为0.821,表示氧原子在晶胞内的不完全扩散。

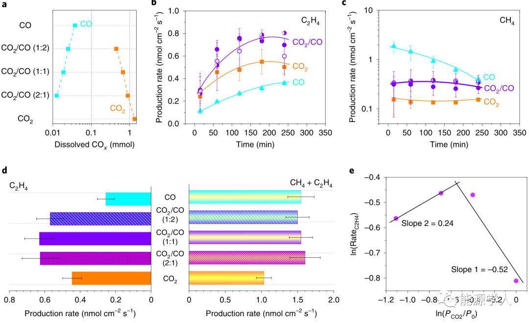
图2 通过在线气相色谱法,在H型反应器中检测到的电催化性能。
随后,作者在H型反应器中评估了中性电解液下纯CO2进料、纯CO进料和CO2/CO共进料下CuOx NPs 的电化学动力学。使用亨利定律,可以计算出每种进料在电解质中溶解的COx(CO和CO2)的摩尔量,并绘制在图2a中。为了测试CO/CO2还原过程中的催化活性和选择性,作者在-1.0 V vs. RHE进行多小时的恒电位电解,测量出稳态条件下电化学还原COx的速率。图2b,c为实验过程中乙烯和甲烷绝对产率的时间轨迹,数据显示,甲烷产量与实验测定的H2产量密切相关,这表明CH4的形成可能直接依赖于反应物氧化还原态、有效表面吸附氢(*H)和局部质子浓度。CO到CH4的六电子反应预计比从CO2开始的八电子反应要快。
在实验中, CO2/CO混合进料则显著提高了C2H4的生成速率(图2d),它在纯CO2进料中值最低,而随着共进料中CO含量的增加,HCOO−减少,烃产率急剧增加约50%。早期的研究表明,纯CO有利于质子接近反应吸附中间体。因此,C2H4是由一个氢化二聚体(*CO-COH)在中等电位下,通过连续的电子-质子McMurry偶联转移形成的,与CH4的生成途径不同。图2e显示了乙烯产率与CO2分压之间的火山型趋势,这表明存在最佳CO2-CO共进料比率,可得到最大的C2H4产率。

图3 使用原位DEMS毛细管流动池系统,对三种反应途径产乙烯的相对贡献进行分析。
通过使用DEMS分析,来验证循环伏安电极电势扫描期间C2H4产率的显着提高,可以确认了C2H4产率提高的原因。可以看到,混合进料在阴极和阳极扫描方向上都大大增强了C2H4的电流(图3a)。图3b显示了三种不同的CO到乙烯的反应途径,图3c中则显示了三种反应机理参与反应的比例随产乙烯电位的变化。在很大的电位范围时,CO2-CO机制的产率很高,这表明了一种持续的贡献。尽管混合进料和纯CO2进料在阴极扫描方向的CO2转换类似,而在阳极扫描方向,CO的存在使CO2的转换增大了3倍,这与图3d中较大的乙烯形成电荷一致。


图4 CO2/CO混合进料条件下提高乙烯产量的机理假设,以及利用CO2/CO自供给双功能串联催化剂,设计实现乙烯产量提高的机理假设。
图4a详细说明了作者对电催化CO2-CO-C2H4反应的动力学分析和机理推测,作者画出了三种进料条件的反应路径和中间体。首先,DEMS结果表明,在CO2/CO共进料条件下,主要由两个吸附CO分子的二聚反应形成中性的OC-CO*, 进一步还原为乙烯。尽管在液-固界面处的总COx浓度低得多,但进料中的CO仍可通过主要的交叉偶联途径来提高乙烯产率,这一事实说明了CO和CO2的非竞争性吸附。这表明在铜纳米催化剂上存在两个不同的、无干扰的,特定于反应物的吸附位点。
【总结】
在本文中,作者发现在CO2/CO混合进料进料时,电化学还原CO2生成C2H4的产率显着提高。通过使用原位DEMS,作者在CO2毛细管流动池中进行了同位素标记实验,结果表明,C2H4产量的提高主要源自交叉耦合的CO2 -CO反应途径,并且超过三分之二的C2H4生成涉及共同进料的CO气体。共同进料的CO不与CO2竞争吸附位,这意味着存在单独的、无干扰的针对CO2和CO的反应物特异性吸附位。最后,作者提出了以下假设:共进料是设计内部自供给混合串联催化剂的机理基础。作者通过将生产CO的非金属NiNC与生产乙烯的金属CuOx偶联,证明了使用金属/非金属CuOx-NiNC串联催化剂进行外部和内部CO共进料的等效性。该机理见解为CO2RR的实用催化剂设计策略提供了一种新的可能,这些机理概念也可以转移到其他产品中,例如乙醇或丙醇。
Xingli Wang, Jorge Ferreirade Araújo, Wen Ju, Alexander Bagger, Henrike Schmies, Stefanie Kühl, JanRossmeisl & Peter Strasser, Mechanistic reaction pathways of enhancedethylene yields during electroreduction of CO2–CO co-feeds on Cu andCu-tandem electrocatalysts, Nature Nanotechnology, 2019, DOI:10.1038/s41565-019-0551-6
