PDN电源平面的噪声耦合分析的相关知识及提取解读优化的方法

旅行的苏西 耀创深圳 4天前


点击上方蓝色字关注我们~


CPU的电压越来越低,工作的速度越来越高,芯片功耗越来越大,布线的面积越来越小,都对电源的供应系统带来了更高的要求和挑战。电源分配系统中的噪声情况直接影响着系统的信号质量,比如出现过冲、下冲、欠冲、信号延迟、信号抖动、误码率增加等问题。严重者将导致系统工作不稳定,甚至是致命性错误。因此我们应该利用科学的仿真手段对电源分析系统中的噪声进行仿真分析,改善PI设计中存在的高阻抗和高噪声问题,确保电源的质量符合设计要求。
1、PI电源完整性是什么?

PI是指电源波形的质量,研究的是电源分配网络(PDN),并从系统供电网络综合考虑,消除或者减弱噪声对电源的影响。电源完整性的设计目标是把电源噪声控制在运行的范围内,为芯片提供干净稳定的电压,并使它能够维持在一个很小的容差范围内,实时响应负载对电流的快速变化,并能够为其他信号提供低阻抗的回流路径。

【1】输出电压偏高,偏低的问题;

【2】噪声的问题;

【3】环路发热的问题;

【4】反馈GND环路过长的问题;

--------------------------------------------

电源噪声来源

稳压电源芯片本身的输出并不是恒定的,会有一定的波纹;

稳压电源无法实时响应负载对于电流需求的快速变化;

负载瞬态电流在电源路径阻抗和地路径阻抗上产生的压降;

2、PDN电源分配系统是什么?

 Power distribution design,

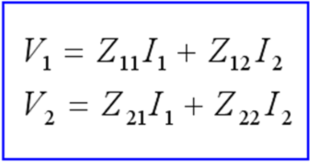
 Z11、Z22被称作为自阻抗,如果端口2被定义为VRM输出管脚,端口1为器件的电源管脚,那么Z11就表示了该器件工作时候的输入阻抗(Zin)的特征,即从器件向PDN系统内部看进去的阻抗。

Z12、Z21通常被称为转移阻抗或者传输阻抗,Zij表示当j端口以Ii的电流特征切换时,在i端口上观测到的电压噪声。转移阻抗反映了不同电源引脚或者芯片之间的噪声干扰,通常用于研究电源网络之间的干扰及去耦电容的摆放

3、电源平面阻抗过高会导致哪些问题?

电容在PI平面改善中的神奇作用。

Ztarget(目标阻抗)=((Power_Supply_Voltage)X最大允许纹波)/ (MaximumCurrentX50%)

 

本套视频你能学到什么?

【1】我们应该怎么来解决电源中常见的问题?

【2】PDN的中的自阻抗和传输阻抗到底怎么理解更彻底?

【3】电容在PI平面改善中有哪些神奇的作用?

【4】噪声耦合分析实例讲解,手把手的进行电源平面层三维体扫描和阻抗分析。

【5】噪声点平面优化的方法,怎么进行高噪声优化,确保电源符合要求。


讲师介绍


李增老师(WARELEO):

资深Cadence系列培训课程讲师
13年+模拟电路和数字电路及程序设计经验,著有多本Cadence和高速信号仿真书籍。熟悉模拟电路和数字电路及程序设计,一直从事电子类的产品设计开发工作,曾经任职Layout工程师、电子工程师、嵌入式工程师、高级硬件工程师、信号分析工程师、高级工程师经理等职务。
从2016年开始,已经多次推出Cadence系列培训课程,每次课程课程安排详实,内容丰富,受到参训工程师的好评,影响上万工程师。



视频获取方法
































点击打赏按钮,完成打赏后发送“获取PDN电源平面的噪声耦合分析视频和实例”邮件到:

lizeng@u-c.com.cn

精彩不容错过,期待您持续关注喔!


老客户福利
购买过本公司Cadence软件的客户或者有过其他合作的客户,本套视频免费赠送。

欢迎大家扫描下方二维码,和李老师一起学习讨论高速信号互联中存在的问题解决问题的办法。

群二维码


李老师微信

END




往期精彩回顾
全流程视频|手把手教你快速掌握高速布线技巧和绕线秘籍
一文读懂BGA焊盘分类和阻焊层要求
图文并茂讲解BGA芯片的布局布线技巧
PCB设计信号完整性有哪些常见问题?

     

    北京耀华创芯电子科技有限公司(英文:U-Creative Technology Limited,以下简称耀创科技),是一家专注于从事电子设计自动化(EDA)服务的高科技公司,是Cadence在国内合作时间最长的代理商。

      耀创科技公司的管理和服务团队人员均拥有多年的EDA从业经验,公司自成立以来,为来自国内各区域和行业数百家的客户提供了优质的服务。

      耀创科技通过十几年的发展,我们积累了丰富的EDA产品市场与服务经验,已经帮助国内多家客户成功地使用EDA产品,极大地提高了这些客户的电子设计水平和生产效率。在引进国外先进的EDA工具的同时,我们针对中国市场的特殊性,与Cadence公司合作,在国内最早提出了电子设计与数据管理平台的概念,开发出具有自主知识产权的电子电气设计集成数据管理平台CMS Suite,成功地在一些研究所及商业公司内进行实施,极大的加速了板级产品的标准化设计流程,覆盖从优选元件选控、协同设计输入、在线检查分析、标准化文档输出及PLM/PDM系统集成,在业界获得一致好评。与此同时,根据国内客户的实际情况,我们还提供除了软件使用培训之外的项目陪同设计服务,以帮助客户在完成实际课题的同时能够熟练掌握软件的使用,这一举措也取得了非常好的效果。

      我们一直秉承“与客户共同成长”的服务理念,希望在国内EDA领域内能为更多客户提供支持与服务!



耀创深圳

www.u-c.com.cn

欢迎您的留言

长按扫码可关注