以下文章来源于热流工程坊 ,作者帕坦卡
聚焦CFD软件开发和应用,科普流动传热仿真基础知识,分享热流数值计算理论进展,追踪工程应用前沿。

∨本文由热流工程坊授权转载
传热学是研究不同温度的物体或同一物体的不同部分之间热量传递规律的学科,学科定律主要建立在3种基本传热方式基础之上,即导热、对流和辐射。

传热示意图
1. 传热方程
传热过程主要使用关于温度(或者能量)的控制方程来描述,比如说考虑温度随时间的变化、导热以及对流后的方程为:

显然,上述方程属于偏微分方程,也是大部分CFD研究人员最常用的方程。求解后得到的结果为温度T关于时间t,位置x, y, z以及一些常数c1,c2, c3…的函数T(x, y,z, t, c1, c2,c3,…)。

温度分布示意图
2. 热边界决定唯一解
这个时候想必有人就要问了,传热问题千千万,你光用这一个方程得到的解不都是一样的吗?

的确是一样的。

一维稳态导热图
比如说,对于上述一维稳态导热问题,其控制方程为:

求解后得到T=ax+b。换句话说,对于任意一维稳态导热问题而言,T=ax+b均满足上述控制方程。
但是,a和b的值为任意值,所以想要确定具体的温度分布,还需要给出a和b的具体值。而这一过程正是通过边界条件确定的,也是边界条件的意义所在。

于是我们可以这样操作,对于上述区域的两个边界点x0,x1,如果给定

则有

两个方程两个未知数,轻松得到a和b的值;

则有

同样可以轻松得到a和b的值;

则有

同样可以轻松得到a和b的值。


复杂的热边界
事实上,以上三种边界条件恰好对应了传热学的三类边界条件。看上图给出的两种传热学应用场景,几何够复杂吧,热边界其实也是一样的。即
第一类边界条件(也叫狄利克雷边界条件),给定边界上的温度值;
第二类边界条件(也叫诺依曼边界条件),给定边界上温度的梯度值,或者说给定边界上的热流密度;
第三类边界条件,给定边界上温度的梯度值与边界温度的关系。
这三类边界条件综合起来,也可以总结为以下公式

不同问题的边界条件不同,决定温度T分布的常数c1, c2, c3…也就不同,这也是为什么相同控制方程能够得出不同温度分布的真正原因。即
控制方程定性,边界条件定量,二者相互配合,才得到了千千万万不同的解。

3. 举例
下面帕坦卡就以通用结构化网格为例,给CFDers解说下如何处理传热学中涉及到的三类边界条件。

必须承认,对于方形规则区域边界条件的处理是最容易的。然而,现实中涉及到的往往都是不规则区域,在采用通用结构化网格时,以笛卡尔坐标系的实际网格(x,y)可能非正交。

想要引入正交的计算网格,我们就需要通过适当的数学变换,将不规则的边界变化到更容易处理的计算网格(x,h)中,也就是像下图这样。

物理平面与计算平面上的交叉网格
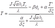
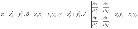
当然,控制方程及边界条件也需要做相应的变化,变换过程中的一些重要系数罗列如下:

据此可以得到三类边界条件的离散形式分别为
第一类边界:

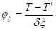
第二类边界:
,

其中,q为边界热流密度,T为边界温度,λ为导热系数,δξ为控制点间的距离,T’为紧邻边界的内点温度。
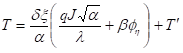
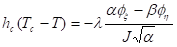
第三类边界:


其中,hc为边界上物体与周围流体间的表面传热系数,Tc为流体温度。
细心的CFDer可能发现,网格正交时b=0,令a=g=1,上述方程很容易变成大家常见的均匀网格形式。比如说下图的传热学场景。

实际区域温度场

计算区域温度场
好了,关于热边界,你懂了麽?

\ CAE工程师精品课 \

仅售 ¥25 | 淘口令 ₳bWKP1em4cdZ₳

仅售 ¥20 | 淘口令 ₤ia501VfdgGY₤