傅里叶变换的本质及其公式解析
EDN电子技术设计
今天
傅里叶
变换
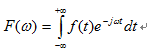
的公式为:
可以把
傅里叶
变换
也成另外一种形式:
可以看出,
傅里叶
变换
的本质是内积,三角函数是完备的正交函数集,不同频率的三角函数的之间的内积为0,只有频率相等的三角函数做内积时,才不为0。
下面从公式解释下
傅里叶变换
的意义:
因为
傅里叶变换
的本质是内积,所以f(t)和
求内积的时候,只有f(t)
中频
率为
才会有内积的结果,其余分量的内积为0。
可以理解为f(t)在
上的投影,积分值是时间从负无穷到正无穷的积分,就是把信号每个时间在
叠加起来,可以理解为f(t)在
上的投影的叠加,叠加的结果就是频率为
的分量,也就形成了
频谱
。
傅里叶
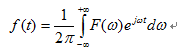
逆变换的公式为:
下面从公式分析下
傅里叶
逆变换的意义:
傅里叶
逆变换就是
傅里叶变换
的逆过程,在
和
求内积的时候,
只有t时刻的分量内积才会有结果,其余时间分量内积结果为0,同样积分值是频率从负无穷到正无穷的积分,就是把信号在每个频率在t时刻上的分量叠加起来,叠加的结果就是f(t)在t时刻的值,这就回到了我们观察信号最初的
时域
。
对一个信号做
傅里叶变换
,然后直接做逆变换,这样做是没有意义的,在
傅里叶
变换和傅里叶逆变换之间有一个滤波的过程。
将不要的频率分量给滤除掉,然后再做逆变换,就得到了想要的信号。
比如信号中
掺杂
着
噪声
信号,可以通过
滤波器
将
噪声
信号的频率给去除,再做
傅里叶
逆变换,就得到了没有
噪声
的信号。
优点:
频率的定位很好,通过对信号的频率分辨率很好,可以清晰的得到信号所包含的频率成分,也就是
频谱
。
缺点:
因为
频谱
是时间从负无穷到正无穷的叠加,所以,知道某一频率,不能判断,该频率的时间定位。
不能判断某一时间段的频率成分。
例子:
平稳信号:
x(t)=cos(2*pi*5*t)+cos(2*pi*10*t)+cos(2*pi*20*t)+cos(2*pi*50*t)
傅里叶变换
的结果:
由于信号是平稳信号,每处的频率都相等,所以看不到
傅里叶变换
的缺点。
对于非平稳信号:
信号是余弦信号,仍然有四个频率分量
傅里叶变换
的结果:
由上图看出知道某一频率,不能判断,该频率的时间定位。
不能判断某一时间段的频率成分。
短时
傅里叶变换
傅里叶变换
存在着严重的缺点,就是不能实现时频联合分析。
傅里叶变换
要从负无穷计算到正无穷,这在实际使用当中,跟即时性分析会有很大的矛盾。
根据这一缺点,提出了短时
傅里叶变换
。
后来的时间—频率分析也是以短时
傅里叶变换
为基础提出的。
为了弥补
傅里叶变换
的缺陷,给信号加上一个
窗函数
,对信号加窗后计算加窗后函数的
傅里叶
变换,加窗后得到时间附近的很小时间上的局部谱,
窗函数
可以根据时间的位置变化在整个时间轴上平移,利用窗函数可以得到任意位置附近的时间段
频谱
,实现了时间局域化。
短时
傅里叶变换
的公式为:
在
时域
用
窗函数
去截信号,对截下来的局部信号作
傅立叶
变换
,即在t时刻得该段信号得
傅立叶
变换,不断地移动t,也即不断地移动
窗函数
的中心位置,即可得到不同时刻的傅立叶变换,这样就得到了时间—频率分析。
短时
傅里叶变换
的本质和
傅里叶
变换一样都是内积,只不过
,实现了局部信号的
频谱
分析。
短时
傅里叶变换
的另一种形式:
优点:
在
傅里叶变换
的基础上,增加了
窗函数
,就实现了时间—频率分析。
缺点:
短时
傅里叶变换
使用一个固定的
窗函数
,窗函数一旦确定了以后,其形状就不再发生改变,短时
傅里叶
变换的分辨率也就确定了。
如果要改变分辨率,则需要重新选择
窗函数
。
短时
傅里叶变换
用来分析分段平稳信号或者近似平稳信号犹可,但是对于非平稳信号,当信号变化剧烈时,要求
窗函数
有较高的时间分辨率;
而
波形
变化比较平缓的时刻,主要是
低频
信号,则要求
窗函数
有较高的频率分辨率。
短时
傅里叶变换
不能兼顾频率与时间分辨率的需求。
测不准原理告诉我们,不可能在时间和频率两个空间同时以任意精度逼近被测信号,因此就必须在信号的分析上对时间或者频率的精度做取舍。
短时
傅里叶变换
受到测不准原理的限制,所以短时
傅里叶
变换
窗函数
的时间与频率分辨率不能同时达到最优。
在实际使用时,根据实际情况选用合适的
窗函数
。
例子:
原始信号: 信号是余弦信号,有四个频率分量.
当
窗函数
选为:
时,短时
傅里叶变换
为:
由上图可以看出,
时域
的分辨率比较好,但是频率出现一定宽度的
带宽
,也就是说频率分辨率差;
当
窗函数
选择为:
时,短时
傅里叶变换
为:
由上图可以看出,频率的分辨率比较好,但是
时域
分辨率差,有点接近
傅里叶变换
。
有上图可以看到短时
傅里叶变换
的缺点。
阅读原文
阅读
在看
已同步到看一看
写下你的想法
前往“发现”-“看一看”浏览“朋友在看”
前往看一看
看一看入口已关闭
在“设置”-“通用”-“发现页管理”打开“看一看”入口
我知道了
已发送
取消
发送到看一看
发送
傅里叶变换的本质及其公式解析
最多200字,当前共
字
发送中