以下文章来源于外研社科学出版 ,作者铸雪
致力于整合国内外优秀资源,持续探索科学教育、科学普及和学术科研等出版领域,为您提供多层次、立体化的学习方案。关注外研社科学出版,获取最新最权威的科学知识!
不知不觉中,我们又迎来了一年一度的“π日”(以及白色情人节)。2011年,国际数学协会正式宣布,将每年的3月14日设为国际数学节。小学数学教材告诉我们,π的小数部分是一个无限不循环小数,不能简单地用分数完全表示。所以值此π日之际,让我们重温小学的数学知识,揭开π的神秘面纱。

某不存在的网站上庆祝π日的Doodle,2018年3月14日。值得一提的是图片上展示的是名厨Dominique Ansel为π日特别设计的苹果派。向下滑动浏览详细菜谱👇
资料来源:piday.org
(P.S.:小编当年亲测过此菜谱,如果有小伙伴想在家尝试,小编只能说……其实没有苹果的苹果派还是蛮好吃滴😂)
1
π的前世今生
π就是人们常说的圆周率,是一个数学常数,定义为圆的周长和其直径的比值。早在远古时期,人类就发现圆的周长与其直径之间有着不可告人的秘密♂。有出土文物显示,早在古巴比伦时期,当时的几何学家已经将圆周率的值推算到25/8。

最早的有记录的严谨算法可以追溯到公元前250年,古希腊数学家阿基米德通过正多边形算法得到了π的下界与上界分别为223/71与22/7,即3.140845< π <3.142857。

《沉思的阿基米德》
艺术家
年份
类型
收藏地
Domenico Fetti
约1620年
布面油画
Gemäldegalerie Alte Meister,德累斯頓

阿基米德求圆周率的思路是首先构造圆内接多边形和对应的外切多边形。当边数足够大时,两个多边形的周长便趋近于圆周长的下界与上界。
思考题:如何证明22/7>π?
提示:

点击空白处偷看答案
在此之后,数学家先后通过割圆术、无穷级数等方法计算π的值。1706年,英国天文学家约翰·梅钦已经可以利用格雷果里-莱布尼茨级数产生的公式计算到π的第100位小数。同样在这一年,威廉·琼斯在《新数学导论》中第一个将π作为圆周率的专属符号,但真正让各国数学家接受这一设定的还要归功于莱昂哈德·欧拉。1736年,欧拉在其《力学》一书中开始使用符号“π”,此后数学家们纷纷效仿。

《莱昂哈德·欧拉(1707-1783)》
艺术家
年份
类型
收藏地
Jakob Emanuel Handmann
约1756年
油彩
Deutsches Museum, 慕尼黑
莱昂哈德·欧拉,近代数学先驱,有史以来最伟大的数学家之一。法国数学家拉普拉斯曾这样评价欧拉的贡献:“读读欧拉,他是所有人的老师。”
特别地,π的值为3.1415926535897......,不仅是一个无理数(也就是说π是无限不循环小数),同时也是一个超越数(所谓“超越数”,是指不满足任何整系数多项式方程的实数的数)。

“超越数”一词出自欧拉1748年的评论:“它们超越代数方法所及的范围之外。”但直到1844年,其存在性才被法国数学家刘维尔证明。

是的,小编介绍超越数就是为了发这张表情……所以看到的同学不转发评论点赞吗?😏
2
割圆术:优雅地计算π
说到π的计算,就不得不提大名鼎鼎的“割圆术”。约公元265年,数学家刘徽创立了割圆术,用正3072边形计算出π的数值为3.1416。之后祖冲之在公元480年利用割圆术计算正12288边形的边长,得到圆周率约等于355/113(即密率)。在之后的八百年内,这都是准确度最高的π估计值。

图片来源:wikipedia
祖冲之(429~500),字文远,南北朝刘宋数学家。祖冲之给出了两个分数值的圆周率:22/7(“约率”)与355/113(“密率”),后者将圆周率精确到小数点后第7位,这一纪录直到一千多年后才由阿拉伯数学家阿尔·卡西打破。
割圆术的原理如今看来十分简单,利用简单的小学数学就可以论证。简而言之,就是将圆分割成多边形,分割来越细,多边形的边数越多,多边形的面积就和圆的面积越接近。

图片来源:bilibili
当然如果我们站在刘徽和祖冲之的时代思考,这里还有一个知识点亟待解决,即圆的面积与周长间的关系。同样利用小学数学,我们得到 N边形的面积 = N边形的半周长 × N边形外接圆半径。

"N边形的面积 = N边形的半周长 × N边形外接圆半径"的证明
当N极大时,其面积也就极为接近于圆,也就是 圆的面积 = (圆的周长/2) × 半径。这样也就成功地将圆的面积与周长联系了起来。利用Wolfram Cloud,我们可以很直观地演示割圆术的运算过程。(你问为啥不直接用Mathematica?远程办公的小编表示不卸载游戏的情况下硬盘没有足够的空间安装大型软件😅)

知识点:割圆术的迭代算法

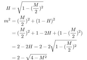
前文中只是粗略的介绍了割圆术的原理,在实际操作中还会遇到一些技术上的小问题。这里简单介绍割圆术的迭代算法,有兴趣的同学可以用计算机模拟(有时间的同学可以试试像祖冲之一样笔算)。
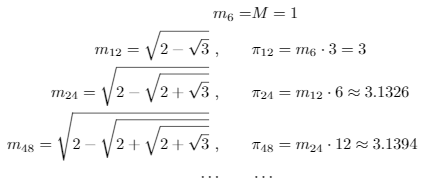
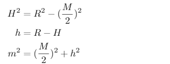
如上图以O为圆心作圆O,然后构造正多边形。原则上,多边形可以为任意边。不失一般性,此处正六边形。从圆心O作某一条边的垂直平分线OB,连接AB即为圆O的内接正十二边形的一条边。OB与正六边形的边相交于点C。设 |OC| = H,|CB| = h,|OA| = R ,正六边形的边长 = M,正十二边形的边长 = |AB| = m。于是有

为了简便计算,令 |OA| = R =1,则有

于是我们得到了边长的迭代公式

前面已经论证过“N边形的面积 = N边形的半周长 × N边形外接圆半径”,又由定义得知圆周率是“圆的周长和其直径的比值”,故正N边形的面积(S),边长(m),外接圆半径(R)之间有

同样令 R =1,我们有

结合上面的迭代公式,显然可以得到

这里m和π的下标N表示结果是在正N边形的前提下求得的。显然,随着边数N的增大,求得的π的值也趋近于π的真实值。
3
无穷级数:更优雅地计算π
利用割圆法计算圆周率虽然思路比较简单,但在计算上还是比较繁琐,尤其是过去的数学家不像小编这样可以借助Mathematica计算。至今利用多边形计算π最准确的结果是奥地利天文学家克里斯托夫·格林伯格在1630年得到的。为此格林伯格利用正10的40次方(也就是1后面40个0)边形,计算得到π的第38位小数。为此,新的思路也就应运而生。



图片来源:wikipedia
弗朗索瓦·韦达(左)、约翰·沃利斯(中)、戈特弗里德·莱布尼茨(右)。接下来介绍的方法就来自这三位大神。
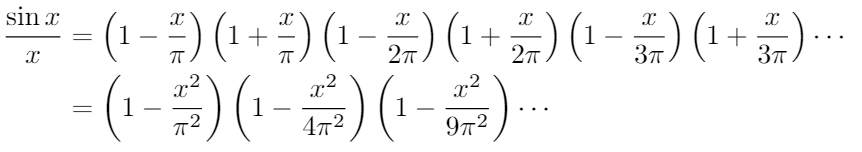
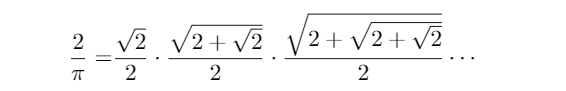
韦达的无穷乘积


图片来源:twitter@fetedayy
套娃警告:此处无法“禁止套娃”~
韦达给出的其实并不是无穷级数,而是无穷乘积。一般认为,韦达的这项工作是欧洲最早的有关无穷项圆周率的公式。虽然小编暂时没有考证到韦达最初是如何完成这项证明的,不过利用我们中学的数学知识基本可以完成证明。证明思路就是倍角公式。

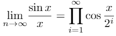
等式两边同时除以x,有

这里需要借助一点大学的内容,利用极限

我们有

取 x = π/2,我们很容易得到

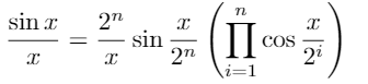
沃利斯乘积

沃利斯乘积,又称沃利斯公式,由英国数学家约翰·沃利斯于1655年发现。要严格证明这个等式步骤有些繁琐(也就是说各位读者老爷懒的看),所以我们借助欧拉(没错,又是他!)处理巴塞尔问题时使用的技巧来证明这一等式。(这里值得一提的是,欧拉当年“求解”巴塞尔问题的方法现在看来也是不完备的。)
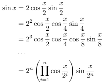
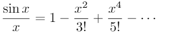
首先考虑正弦函数的麦克劳林展开:

两边同除以x,得

考虑到方程 sin (x) / x = 0 的根位于 x = …,-2π,-π,π,2π,…处,所以有

令 x = π/2,

公式得证。
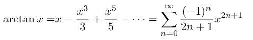
格雷果里-莱布尼茨公式

上面提到的两个方法之所以比较有名,主要是因为提出的时间比较早。在实际计算过程中,人们更倾向于使用上面这个公式。它是由莱布尼茨于1674年发现,被称为格雷果里-莱布尼茨公式。不过有的小伙伴已经发现,这其实就是arctan函数的麦克劳林展开。由于太过于出名,相信大家已经烂熟于心,所以这里就不过多介绍公式的证明了。当x取1时,arctan函数恰好等于π/4,所以比起以往的算法更为简单。
不过特别提醒想要亲自计算的同学,虽然格雷果里-莱布尼茨公式看起来计算简洁,但其收敛速度非常慢,因此现在基本不会用此公式来计算圆周率。这里推荐一个印度传奇数学家拉马努金给出的公式


图片来源:wikipedia
斯里尼瓦瑟·拉马努金,20世纪印度传奇数学家。他一生未受过正规的高等数学教育,但具有极为敏锐的直觉。拉玛努金经常直接给出公式而不作证明,但而在他的理论在事后往往被证明是对的。数学家哈代评论拉马努金的公式,有些他起先不能理解,但“它们肯定是真的,因为如果不是的话,没人能有足够的想像力来发明他们。”

彩蛋时间:一个不优雅的反面典型

在写作这篇文案的过程中,小编忽然想起了当年曾在人人网上看到过一篇文章介绍圆周率的文章,小编的一个朋友(无中生友警告)一度深信不疑。

图片来源:reddit
文章小编没有搜到,不过倒是在发现有歪国人讨论的不亦乐乎~
令 p = ∞,确实会使 π = 4。但上图的证明显然是错误的。考虑到圆的周长本质上是导数的积分,这幅图的问题就在于,一致收敛函数的导数未必收敛。当然这个问题也可以从测度的角度来考虑,但无论是哪个角度,都不太可能在一篇文章里解释清楚。(更何况文章写辣么长,肯定没人愿意读😭)所以就让我们期待明年的3月14,继续我们的π日说π吧~(前提当然是各位读者老爷们千万不要取关啊~~~)
看完今天的科普,肯定会有同学觉得意犹未尽。那么问题来了,有没有这么一本书,可以在还原科学定理产生历史的同时,深入浅出地介绍其背后蕴含的科学道理呢?

央视“加油向未来”节目科学顾问曹则贤老师倾情巨献,收录数理史上数十例绝妙证明,涉及一百八十多位名家。因材施教,激励少年读者循着先哲开辟的道路前行。
来源:外研科学出版社
编辑:fengyao
近期热门文章Top10
