1. 人工神经元( Artificial Neuron )模型
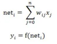
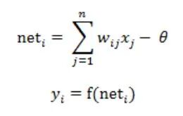
人工神经元是神经网络的基本元素,其原理可以用下图表示:图中 x1 ~ xn 是从其他神经元传来的输入信号,wij表示从神经元 j 到神经元 i 的连接权值,θ 表示一个阈值 ( threshold ),或称为偏置( bias )。则神经元 i 的输出与输入的关系表示为:图中 yi 表示神经元i的输出,函数f称为激活函数 ( Activation Function )或转移函数 ( Transfer Function ) ,net 称为净激活(net activation)。若将阈值看成是神经元i的一个输入 x0 的权重 wi0,则上面的式子可以简化为:若用 X 表示输入向量,用 W 表示权重向量,即:若神经元的净激活net为正,称该神经元处于激活状态或兴奋状态(fire),若净激活net为负,则称神经元处于抑制状态。图1中的这种“阈值加权和”的神经元模型称为M-P模型 ( McCulloch-Pitts Model ),也称为神经网络的一个处理单元( PE, Processing Element )。2. 常用激活函数
激活函数的选择是构建神经网络过程中的重要环节,下面简要介绍常用的激活函数。(1) 线性函数 ( Liner Function )(2) 斜面函数 ( Ramp Function )(3) 阈值函数 ( Threshold Function )以上3个激活函数都属于线性函数,下面介绍两个常用的非线性激活函数。(4) S形函数 ( Sigmoid Function )图:S形函数与双极S形函数图像
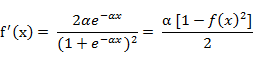
双极S形函数与S形函数主要区别在于函数的值域,双极S形函数值域是(-1,1),而S形函数值域是(0,1)。由于S形函数与双极S形函数都是可导的(导函数是连续函数),因此适合用在BP神经网络中。(BP算法要求激活函数可导)3. 神经网络模型
神经网络是由大量的神经元互联而构成的网络。根据网络中神经元的互联方式,常见网络结构主要可以分为下面3类:(1) 前馈神经网络 ( Feedforward Neural Networks )前馈网络也称前向网络。这种网络只在训练过程会有反馈信号,而在分类过程中数据只能向前传送,直到到达输出层,层间没有向后的反馈信号,因此被称为前馈网络。感知机( perceptron)与BP神经网络就属于前馈网络。下图中是一个3层的前馈神经网络,其中第一层是输入单元,第二层称为隐含层,第三层称为输出层(输入单元不是神经元,因此图中有2层神经元)。图:前馈神经网络
对于一个3层的前馈神经网络 N ,若用 X 表示网络的输入向量,W1 ~ W3表示网络各层的连接权向量,F1 ~ F3 表示神经网络3层的激活函数。O3 = F3( F2 ( F1( XW1 ) W2 ) W3 )若激活函数 F1 ~F3 都选用线性函数,那么神经网络的输出 O3 将是输入 X 的线性函数。因此,若要做高次函数的逼近就应该选用适当的非线性函数作为激活函数。(2) 反馈神经网络 ( Feedback Neural Networks )反馈型神经网络是一种从输出到输入具有反馈连接的神经网络,其结构比前馈网络要复杂得多。典型的反馈型神经网络有:Elman网络和Hopfield网络。图:反馈神经网络
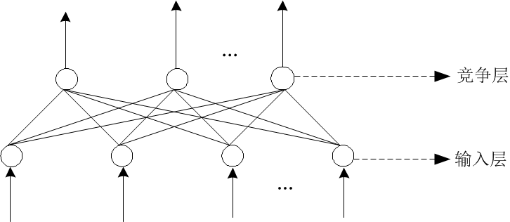
(3) 自组织网络 ( SOM ,Self-Organizing Neural Networks )自组织神经网络是一种无导师学习网络。它通过自动寻找样本中的内在规律和本质属性,自组织、自适应地改变网络参数与结构。图:自组织网络
网络的学习主要是指使用学习算法来调整神经元间的联接权,使得网络输出更符合实际。学习算法分为有监督学习( Supervised Learning )与无监督学习( Unsupervised Learning )两类。有监督学习算法将一组训练集 ( training set )送入网络,根据网络的实际输出与期望输出间的差别来调整连接权。有监督学习算法的主要步骤包括:
1) 从样本集合中取一个样本( Ai,Bi );
2) 计算网络的实际输出 O ;
3) 求 D = Bi-O;
4) 根据D调整权矩阵W;
5) 对每个样本重复上述过程,直到对整个样本集来说,误差不超过规定范围。无监督学习抽取样本集合中蕴含的统计特性,并以神经元之间的联接权的形式存于网络中。神经元间的连接权不变,神经网络作为分类器、预测器等使用。下面简要介绍一下Hebb学习规则与Delta学习规则 。Hebb算法核心思想是,当两个神经元同时处于激发状态时两者间的连接权会被加强,否则被减弱。为了理解Hebb算法,有必要简单介绍一下条件反射实验。巴甫洛夫的条件反射实验:每次给狗喂食前都先响铃,时间一长,狗就会将铃声和食物联系起来。以后如果响铃但是不给食物,狗也会流口水。

受该实验的启发,Hebb的理论认为在同一时间被激发的神经元间的联系会被强化。比如,铃声响时一个神经元被激发,在同一时间食物的出现会激发附近的另一个神经元,那么这两个神经元间的联系就会强化,从而记住这两个事物之间存在着联系。相反,如果两个神经元总是不能同步激发,那么它们间的联系将会越来越弱。其中 wij 表示神经元 j 到神经元 i 的连接权,yi 与 yj 为两个神经元的输出,a 是表示学习速度的常数。若 yi 与 yj 同时被激活,即 yi 与 yj 同时为正,那么 wij 将增大。若 yi 被激活,而 yj 处于抑制状态,即 yi 为正 yj 为负,那么 wij 将变小。Delta学习规则是一种简单的有监督学习算法,该算法根据神经元的实际输出与期望输出差别来调整连接权,其数学表示如下:其中 wij 表示神经元 j 到神经元 i 的连接权,di 是神经元i的期望输出,yi 是神经元 i 的实际输出,xj 表示神经元 j 状态,若神经元j处于激活态则 xj 为 1,若处于抑制状态则 xj 为 0 或-1(根据激活函数而定)。a 是表示学习速度的常数。假设 xi 为1,若 di 比 yi 大,那么 Wij 将增大,若 di 比 yi 小,那么 Wij 将变小。Delta规则简单讲来就是:若神经元实际输出比期望输出大,则减小所有输入为正的连接的权重,增大所有输入为负的连接的权重。反之,若神经元实际输出比期望输出小,则增大所有输入为正的连接的权重,减小所有输入为负的连接的权重。这个增大或减小的幅度就根据上面的式子来计算。采用BP学习算法的前馈型神经网络通常被称为BP网络。
图:三层BP神经网络结构
BP网络具有很强的非线性映射能力,一个3层BP神经网络能够实现对任意非线性函数进行逼近(根据Kolrnogorov定理)。一个典型的3层BP神经网络模型如图所示。文章来自:http://www.cnblogs.com/heaad/
转载此文目的在于传递更多信息,版权归原作者所有,转载请保留出处。
原文链接:https://www.cnblogs.com/heaad/archive/2011/03/07/1976443.html
关于 Imagination微信号
权威发布有关Imagination公司GPU、人工智能以及连接IP、无线IP最新资讯,提供有关物联网、可穿戴、通信、汽车电子、医疗电子等应用信息,每日更新大量信息,让你紧跟技术发展,欢迎关注!伸出小手按一下二维码我们就是好朋友!