量子点电致发光的黎明

 

1. 引子

 

物理学,作为自然科学最上游的基础分支 (数学是方法和逻辑,有一种观点不将数学归于自然科学),在人类追求生存和知识之路上被认为是最浪漫的、亦最严谨、当然也即最难的。这种认知大概不会有太多人反对!所以,到了今天,我国基础教育开始从传统“数理化”慢慢退却,首当其冲是将“物理”这样的基本学科归入“阳春白雪”,有则富裕、无则小康。这种认识也跟物理人有意无意将“物理”不断深化、升华、神话的习惯有关。我们总喜欢将自己的先辈,包括自己在内,整得是智高无上的一类,慢慢也就成为不食人间烟火的一类。

 

之所以这么说,从物理人一些最简单的事业都可看出。比如,笔者曾经听闻一位朋友以凝聚态专业进行研究生面试举例。他参加了很多年此类面试,老师们问的问题都是:“能带理论的内涵是什么?”、“量子力学的本源有哪些?”、“声子的动量”,如此等等。很显然,一般物理系的学生听到这些多半会有听“天书”的感受:天啊,my God

 

当然,偶尔也有不一样的面试问题,比如:“你家是农村的,对吧?你看,你家里用白炽灯照明。后来你进入大学读书,教室和宿舍用日光灯照明。你看,假定都是100 W 的白炽灯泡和日光灯泡,为什么白炽灯就不亮,而日光灯就那么亮?”。这样的问题切入我们的日常生活,但也会让当下物理系的学生懵逼:老师,物理竟然有这样看上去妇孺皆以为知而实不知的知识?!

 

有的,有的,物理学全都应该是这样下里巴人的知识!这才是物理、才是自然科学、也正是本文追求的主题:高效发光


1,照明光源的发展历程。

https://www.nobelprize.org/prizes/physics/2014/press-release/

 

 

2. 电致发光

 

高效发光,具体到人类最常见的发光技术,主要有两大类:热光源和冷光源。白炽灯是最经典的将电能转化为光能的热光源:将电阻加热、加热、加热到很高温度,自然就会辐射光。不过,这种发光技术之所以被淘汰,乃因为大量电能都被转化为非“可见”的红外光辐射 (这里“可见”是指我们需要的光) 和大量热能,浪费和耗散掉了。而日光灯,却大踏步前进了一步:弧光放电产生紫外光,继而激发荧光粉产生我们照明所需要的“可见”光。这里,因为很少有那些看不见的光和热,所以效率高多了,也就亮多了!其实,这些传统的光源需要经过复杂的能量转换过程,其能量利用效率远未接近理想。后来,基于电致发光原理的冷光源,使得电能能够直接转化为光能,从而大幅提高了照明光源的效率。图 1 简单显示了人类成长历程中照明光源的几个例子。

 

到今天,电致发光这个理念已发展到很高水准,将人类“吝啬”和“节俭”的本质发挥到极致:绝不浪费一丝一毫电能、要将每一丝一毫的电能都转换为需要的光!

 

要做到这一点,笔者先翻翻故纸堆,看看电致发光到底有哪些基本面值得推敲,从而为不浪费一丝一毫电能做一番注解。这里讨论的电致发光,只限于通过电激发半导体材料,将电能直接转化为光能的过程,不涉及其它的一些发光模式。

 

电致发光已经成为人类前所未有的高效、便捷、自如地产生操控光的一门学问、一门技术和一大产业。其中,发光二极管 (light-emittingdiode, LED) 带来的固态照明,便是电致发光改变日常生活的绝佳例子。所谓半导体 LED,其基本的物理并不复杂。结构上,最传统的无机 LED 由一对 p 型和 n 型半导体异质结叠合而成,界面处形成一 pn 结,如图 2 所示:

 

(1)   LED 异质结 p 型半导体层在价带上存在空穴n 型层在导带上存在电子,两者费米面对齐后,导带价带之差即为带隙,是确定的。

(2)   异质结施加正向电偏压,则电子从 n 型半导体一端流向 pn 结。在此处,导带上的电子跃迁到价带,与空穴复合。这一过程带来的能量释放被用于发射一个光子,即发光,如图 2 上部所示。

(3)   不同带隙对应发出的光子不同。只要合适设计这一带隙大小,就可以获得不同颜色的光。

(4)   设计不同的 pn 结结构,获取不同颜色的光,通过适当光色组合,就可以获得白色光源。例如用蓝色照射黄色荧光粉、用紫外光照射红蓝绿三色荧光粉混合、直接用红蓝绿三种 LED 混合发光,都可以形成白光照明光源。


2. 半导体 pn LED 的基本工作原理 (上部) 和带隙决定光子波长 (颜色) 的物理。

https://www.fiberlabs.com/glossary/about-led/

 

 

上述简单物理要转换为人类生活中触手可及的技术,当然经历了万千般挑战与困难。到 20 世纪后半叶,基于 III – V 族半导体的无机 LED 技术总算让电致发光的白光光源进入了千家万户。这种新一代固态照明光源,无论在能量转换效率上,还是在使用寿命上,均远远超过了传统的白炽灯与日光灯。迈出这决定性一步的物理人之杰出代表便是发明 GaN 蓝光 LED 赤崎勇 (Akasaki Isamu)、天野浩 (Amano Hiroshi) 和中村修二 (Nakamura Shuji)。他们荣获 2014 年诺贝尔物理学奖,而授奖评语就是:白炽灯照亮了 20 世纪,而21世纪将被 LED 照亮。考虑到诺贝尔奖一贯保守谨慎的风格,其颁奖词都直接拿 LED 照明来说事,也说明用于照明的 LED 已经在技术上日臻完美。

 

事实上,传统无机 LED 照明光源的产业化,的确并不是电致发光技术的极限与终点。电致发光另一个可能更绚丽的舞台是在显示领域。显示作为年产值超 2000 亿美元、关乎国际民生的高科技产业,正在成为各国竞争的前台,至少中国就有多地在竞相推动显示产业为当地工业的更新换代目标。也就是说,面向自发光显示应用的电致发光技术正日益成为实验室研究的宠儿。这样说,基于三个重大需求:

 

(1)   正如绘画技艺的成熟并没有阻止摄影术的诞生,人类对极致感官的追求永无止境。与照明应用相比,显示应用除了高效率、长寿命外,更呼唤具有高纯色彩的三基色 LED,以满足下一代显示的高色域要求。

(2)   显示应用需要高性能器件的宏量、低成本制备。以常见的 1920 × 1080 屏幕计算,就需要 200 多万个像素,也就是 600 多万个 LED

(3)    下一代屏幕需支持柔性,以应用于便携、可穿戴、多维度随意折叠形变的新型电子设备

 

对第 (1) 方面,物理人已浸淫多年,对其中的酸甜苦辣咸有所体会。但这第 (2)(3) 点,目前还没有完全成熟完美的构架。

 

这些实际应用中的迫切需求,对 LED 中发光材料光学性质和器件制备工艺都提出了前所未有的要求。用那些沉积在刚性衬底上的无机 LED 材料来做下一代的柔性显示肯定不行,用那些脆性的无机 LED 薄膜来做也面临着巨大的技术挑战。看来得发展一些新的材料和制备技术,以应对低成本、宏亮制备、柔性、可形变、可穿戴、复杂环境等挑战。

 

那怎么办呢?在显示技术不断变革的进程中,利用胶体量子点 (colloidal quantum dot, QD) 作为发光材料、通过溶液法制程加工的量子点 LED (QLED),便应运而生。看起来,QLED 在应对未来显示的需求上,的确有可圈可点之处。

 

 

3. 胶体量子点材料:从诞生到应用

 

到目前为止,我们都是在讨论电致发光,而将另一种发光模式 --- 光致发光 --- 扔在一边,因为人类携带使用的能源主题是电而不是光。有趣的是,量子点发光的实用化进程,首先却是光致发光。

 

所谓胶体量子点,是指基于无机半导体纳米晶的一种纳米材料。早在 1981 年,A. I. Ekimov 等人在发现玻璃基质中 CuCl 纳米晶有吸收峰蓝移现象,并第一次用势箱模型解释了量子尺寸效应——光学带隙与纳米晶尺寸的关系 [1]1980 年代,贝尔实验室的 L. E. Brus 等人合成出了一大类 II – VI 族半导体的溶液纳米晶,在胶体溶液中发现其量子尺寸效应,并对量子点电子结构模型作出改进,触发对胶体量子点及其光致发光性能的广泛研究 [2]。这里“胶体量子点”这一名称终于始露面目。随着对半导体纳米晶量子尺寸效应的研究,具有此独特性质的纳米晶家族也不断壮大,量子点作为一个新潮名词也登堂入室,一段时间成为学术界的新宠。

 

在笔者看来,胶体量子点最神奇的地方在于“晶体 - 溶液”二象性。一方面,它的发光中心是稳定的无机纳米晶体。当纳米晶的尺寸减小到可与材料激子波尔半径相比或者更小时,其能带会由准连续结构变成分立的类分子能级结构,表现出量子限域效应,如图 3(a) 所示。这种变化使得材料带隙宽度增大,吸收峰和发射峰蓝移。因此,人们意识到,量子点材料,特别是 CdSe CdS II – VI 族胶体量子点材料,可以通过合成来控制其尺寸,进而调整发光波长,如图 3(b) 所示。

 

特别注意到,这里的发光峰的宽度特别窄,发光色纯度比之另一大类发光材料——有机发光分子要纯很多,从而赋予了胶体量子点发光的高色纯度!另一方面,胶体量子点的表面包覆了一层有机配体,使得它具有优异的溶解性,可以采用喷墨打印等溶液法来加工成膜。想象一下,如果高性能发光器件的制备能够脱离真空设备,变得象打印报纸、杂志一样简单,那么高性价比、柔性的显示屏如同 LED 固态照明一样走入人类社会也将不再是梦想。显示业界做过估算,一条典型基于喷墨打印的显示屏生产线,相比目前同尺寸的液晶技术生产线或者有机发光技术生产线,其固定资产投入和运营成本都将下降近一个量级。

 

3. (a) 量子限域效应下的能带结构(b) 量子点发光颜色与发光波长的可调性 [3]

 

 

1990 年代,尽管量子限域的基本理论框架已经完成,但是 II – VI 族胶体量子点材料的发展却受制于当时的化学合成方法之高毒性、高成本的困扰,远未能实现作为实用化发光材料的巨大潜力,直到量子点合成化学的领军人物彭笑刚教授迈出关键一步。彭笑刚教授在 2000 年代初发明的绿色有机溶剂路线,让量子点的简便合成从此走进了全世界的实验室 [4, 5]。以后,学术界得以大规模开展不同能级结构、不同化学成分胶体量子点的研究,在生产了大量高 IF 论文之后,最终将胶体量子点推向工业应用。

 

最典型的例子,便是第一代量子点显示技术——量子点增强背光——的商用化。这项技术中,传统的无机 LED 激发量子点,利用量子点光致发光的高效率与高色纯度,实现了超越传统液晶显示与有机 LED (OLED) 的广色域。注意到,这里的量子点发光依然是光致发光!

 

目前,韩国三星公司、中国的 TCL 海信等显示领域龙头品牌均已推出大规模量产的量子点电视。包括华为智慧屏在内的家庭信息终端,也应用了量子点增强背光源技术。第一代量子点显示技术是纳米领域的基础研究最终转化为实际应用的典范。

 

胶体量子点产业化的第一波前浪,也预示着其后浪,即第二代量子点显示技术——主动发光量子点显示 (AM - QLED) ——产业化的潜能。这项技术,不再通过其它光源来激发量子点,也就是说,不再是利用胶体量子点的光致发光,而是直奔更为激动人心的电致发光,直接采用红、绿、蓝三原色的电致发光 QLED 像素进行显示。

 

综上,QLED 有望集成胶体量子点材料 100 % 的发光效率、高色彩纯度 (发光峰宽小于25 nm) 与波长可调 (从紫外到红外区) 等优异发光特性 [6] 及无机晶体所拥有的化学/光化学稳定性,还可以利用大面积、高产能的溶液加工制造方法,以实现高色域、高对比度、快速响应、高性价比、低能耗的柔性显示 [7]。这一技术,被视为下一代显示技术的理想解决方案。在胶体量子点诞生近四十年的当下,其电致发光应用正成为目前学术界和工业界紧密合作、科技攻关的重点。

 

 

4. QLED 器件发展与瓶颈

 

量子点电致发光技术的发展自然也不是一蹴而就的。事实上,自 1993 起,便开始了将胶体量子点应用于电致发光器件—— QLED 的探索 [8]。伴随着量子点化学合成方法的进步 (核壳结构与表面配体设计) 与更多有机、无机载流子传输材料的发展,溶液工艺制备的 QLED 原型器件终于在本世纪第二个十年中,效率达到了与当时有机体系的 OLED 媲美的性能,并且在色纯度上远胜于 OLED

 

2014 年,出自浙江大学的一篇 Nature 文章 [9],报道了外量子效率超过 20 % (量子效率 80 %) 的红光器件,尤其是器件的工作半衰寿命超 10 万小时 (100 尼特初始亮度),将 QLED 的稳定性提升了近两个量级。这一工作立即引起了学术界和产业界的关注,开启了量子点打印显示的国际竞争序曲。近几年,QLED 领域在材料筛选和器件优化上大量投入,取得了不错进展,已经将红、绿光原型器件的性能推进至满足显示产业实用需求的水平 [10],似乎到了大功告成之时。

 

哲语有云:“行百里半九十”。看似大功告成,但却迟迟未见启幕——蓝光 QLED 的寿命至今未能达到显示业界大规模应用的最低标准。其中原因很多,笔者作为此领域之一员,深感核心问题是:缺乏基础科学层面的深刻理解,导致对量子点电致发光的特色和个性缺乏认识,很难有的放矢,进而理性地发展相关的材料化学器件结构。很多时候,我们是在套用基于体相半导体的传统理论,以理解 QLED 中的各种现象,却并不能得到自洽的解释。器件指标的提升,在很大程度上依赖于试错式研究,工作量大、成功率低,导致此种追逐神奇配方的研究范式渐入瓶颈、难以为继。也因此,即便是“行百里而半九九”,不突破基础层面的瓶颈,在应用层面大概率也还是到不了终点。

 

这一现状提醒我们,需要根据量子点材料特性,回溯 QLED 中最基础的科学问题,以深化对工作状态下 QLED 内部的物理、化学过程的认识,以求从机制的理解出发,来指导对器件的优化。

 

如前所述,胶体量子点作为一个光致发光材料,发光效率已近乎完美。但完美的光致发光效率,只能在特定的情况下实现接近理想的电致发光效率。也就是说,光致发光与电致发光其实不是一回事!

 

那么,光致发光与电致发光的最大区别在何处?

 

 

4.1. 光激发与电激发

 

类比于“材料吸收光子跃迁至激发态 (光激发),激发态辐射复合”的光致发光过程,电致发光是“材料在电压驱动下产生激发态 (电激发)、激发态进而辐射复合发出光子”的过程。在量子点中,最高效率的激发态是以“电子-空穴对”形式存在的“激子”。

 

光致发光过程中,成对的电子与空穴能够“瞬间”被光泵浦产生,如图 4(a) 所示。与此不同,电致发光的激发态形成有更复杂的过程。首先,空穴与电子分别从 LED 的正、负两极进入器件,并经过载流子传输层向发光层输运。随后,空穴与电子分别从两侧注入至发光层,最后两种载流子在发光层中组合而成激子,如图 2 和图 4(b) 所示。

 

如果说光激发过程像是烛光的瞬间点亮,那么电激发过程则像是太阳的缓慢升起——电致激发态的形成有一个漫长的前夜。我们知道电子-空穴对最终能够高效产生,却不知道在黎明之前电子、空穴分别是如何与量子点相互作用。但,无论如何,光激发和电激发两者都让我们充满激情,也因此一定有旭日东升的那些景致。

 

4. 光激发 (a) 时,同时产生电子-空穴对;电激发 (b) 则依赖于电子、空穴的分别传输与注入。

 

 

4.2. “一锅煮” 的电激发

 

或许是被 LED 绚丽的发光所吸引,物理人更擅长于研究器件激子的发光特性,比如材料的荧光量子产率与非辐射复合通道等问题。遗憾的是,对电致发光的前夜,即激发态在量子点中形成的过程,却依然探索甚少。在 QLED 领域中,对激子形成过程的理解,通常还是诉诸“体相半导体”的经典理论。

 

经典认识中,对小分子 LED、聚合物 LED 激子电致发光器件,只要发光层内两颗流动的电子与空穴距离足够近,便能通过库伦吸引作用就地形成激子。这种电子与空穴在发光层内传输、相遇、吸引的激子形成过程,通常以“Langevin复合”的宏观图像来描述 [11]激子形成速率,即 Langevin 复合速率 (RL),与发光层中局部电子浓度 ρ(e空穴浓度 ρ(h) 之积成正比,如图5所示。

 

5. 体相材料中电子、空穴相遇,通过 Langevin 复合形成激子

 

 

联想到化学反应动力学,这其实是将发光材料的电激发过程阐释为大量电子与大量空穴一锅煮的双分子反应。若发光层中电子与空穴投料比并非 1:1,那么浓度过剩的载流子将必须以其它“副反应”的方式消耗掉,从而造成了通常所说的载流子不平衡。如此,电致发光效率必然下降。对于量子点材料而言,一类非常容易发生的副反应便是形成发光效率极低的带电激子 (三颗载流子激子) [12]

 

行文至此,我们看到:Langevin 复合以及载流子平衡的概念,曾经对有机 OLED 的发展起到了重要的指导作用,但在这里,当我们用“一锅煮”的思维去看待 QLED 激子产生过程时,却发现了传统宏观图像的局限。

 

 

4.3. 宏观图像的失效

 

为了更进一步表述这种局限,以最为成熟的红光 QLED 为例来稍加展开。它的多层结构颇为复杂,由 ITO正极 / 聚合物空穴传输层 / 量子点 / 金属氧化物电子传输层 / 负极构成。梳理一下:(1) 从能级结构看,空穴传输层与量子点价带间存在至少 0.5 eV 空穴注入势垒,而电子传输层与量子点导带间有较好能级匹配。(2) 从导电性能上来看,聚合物空穴传输层迁移率也远低于比金属氧化物电子传输层。

 

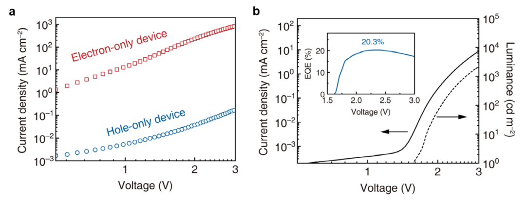
这些信息告诉我们,器件中电子向发光层注入的能力远远超过空穴向发光层注入的能力。这也可由单电子器件中电子电流 (只向量子点层供给电子的器件) 与单空穴器件 (只向量子点层供给空穴器件) 空穴电流的巨大差异来佐证,如图 6(a) 所示。此时,若以宏观的“电子 - 空穴一锅煮”图像来理解,电子的投料是显著过剩的,基于传统电激发图像预测此器件将有极为糟糕的电致发光性能。

 

6. 尽管向量子点层注入分别电子与空穴的能力差异巨大 (a)器件却表现出优异的电致发光性能 (b)

 

7. 量子点薄膜仅由两层量子点颗粒堆积而成,需要从微观视角理解电激发过程。

 

 

神奇的是,正是这样一个看似载流子不平衡的器件,却表现出近乎理想的电致发光性能。如图 6(b) 所示:它具有 1.7 V 的低开启电压,表现出大于 20 % 的外量子效率 (量子效率 80 % 以上),基本代表着目前溶液法红光 LED 的最高水平。高效率、低电压开启的特性表明,器件中电子与空穴均具有良好注入效率,同时量子点薄膜也有益于载流子的平衡注入而产生理想、高效的单激子态发光。

 

器件实际电致发光性能与预测性能的巨大矛盾,说明使用传统半导体的宏观图像去认识 QLED 工作机制似乎不是那么合适我们忽视了量子点的独特性质。

 

QLED  与传统无机 LEDOLED 的最大区别在于:QLED 中的发光层并非均匀、连续的体相材料,而是由离散、10 纳米尺寸的量子点颗粒堆积而成。做一个简单的估算,典型的 OLED 中,发光薄膜 ( 20 纳米厚) 或包含有数百个分子层,而 QLED 中同样厚度的发光薄膜仅仅包含 2 量子点层。因此,传统 LED 中发光层表现出集体、宏观的性质,它的工作机制可以用基于浓度的宏观图像去描绘。而 QLED 中,发光层的行为则受到量子点颗粒个体的显著影响。因此,必须从微观 (量子点) 的角度去探析 QLED 的电激发机制。换言之,这里的关键科学问题就演变成:

 

载流子的海洋中,载流子是如何于量子点上一一配对而形成电子-空穴对的?

 

8. (a) 量子点电致发光器件(b) 理想的单光子发射性质表明器件由单颗量子点发光主导。

 

 

5. 新手段探索新现象

 

要回答上述问题,就必须将 LED 的工作机制推进到单个发光体的层次。做到这一点,是前所未有的挑战。为了实现它,笔者所在团队经历了漫长的探索过程,看起来小有收获。我们合作研究,发明了一个理想的模型系统:单量子点电致发光器件 [13],如图 8 所示。这个器件的传输材料和结构与典型的 QLED 别无二致,差别仅仅在于发光层为单颗分散的量子点。通过使用绝缘聚合物填充量子点之间的空隙,这个器件完全抑制了电子传输层与空穴传输层的接触,而表现出纯粹的、稳定的单激子电致发光

 

基于此模型器件,笔者开发出电泵浦单量子点光谱这一全新的手段,如图 9 所示。具体而言,在一颗量子点被持续施加电激发(激子的不断电致产生与复合)的过程中,同时额外施加一束短波脉冲激发光,以对它的状态进行持续探测。由于脉冲激光与电激发是独立的,激发光将随机地“捕捉”到电激发过程中量子点所经历的不同状态,并且使其释放出相应的光致发光信号。因为单颗量子点的不同带电状态具有可辨别的特征荧光寿命,所以,量子点在激子形成的“前夜”中所隐藏的状态,便会在光致发光信号中“晓露真身”。

 

这幅真身,有几个层面,且待笔者一一道来。

 

9. 电泵浦单量子点光致发光光谱。

 


 

5.1. 量子点电激发的微观图像

 

首先是微观图像。

 

当通过数据拟合排除电致发光信号、提取出光致发光信号后,可以看到其中除了基态量子点的光致发光信号外,还捕捉到负电态量子点的光致发光信号。这说明,电激发向量子点引入了一个额外的负电中间状态,并且单颗量子点在器件中电激发有一条确定的途径:基态 - 负电中间态 - 激子态。换言之,电子-空穴对在单颗量子点中的形成,总是以一颗电子注入、随后一颗空穴注入的“分步反应”进行的,如图 10 所示。

 

进一步地,结合试验测得的瞬态光致发光曲线与速率方程分析,解析出单个量子点电致发光循环的动力学特征。以 2.1 V 驱动下的器件为例,量子点电致发光的完整故事是这样的:

 

(1)   量子点会在基态停留约 49 微秒后迎来一颗电子的注入;

(2)   随后,它会在负电中间态停留约 29 微秒后迎来一颗空穴的注入而在内部形成激子

(3)   最后,电致产生的激子会在 19 纳秒内辐射复合发光,量子点重新回到基态继而开始下一次循环。

 

至此,我们终于首次阐明在电致发光的前夜,单颗量子点与两颗载流子发生了怎样的纠葛,并绘制于图 10 中。


10. 单颗量子点电致发光循环动力学。

 

 

5.2. 限域增强的库伦作用

 

其次是新效应。

 

值得指出的是,图10 所示这样优美、简洁的交替注入机制,与器件的结构与材料的性质是密不可分的。由于材料特性的原因,向中性量子点注入电子的能力远大于注入空穴,因而第一步反应总是一颗电子的注入。由于量子点具有极小尺寸,载流子限域作用会使得量子点被一颗电子占据以后变得十分“拥挤”。以能量的观点来看,负电态量子点的电子势能会显著升高,因而调制了后续载流子的注入势垒。如此被载流子限域作用增强的库伦效应,在抑制了多余电子注入的同时,有效地增强了空穴注入的能力。继而,原本处于极度劣势的空穴注入过程得以借助量子点负电态这一关键中间态高效地发生。基于电泵浦单量子点光谱的速率方程分析甚至表明,在 2.1 V 下向负电态量子点注入空穴的速率常数,能够大于向中性态量子点注入电子的速率常数!

 

因此,在量子点电致发光中,所谓平衡注入并不是指电子与空穴齐头并进的方式。当向中性量子点注入电子和注入空穴的能力有差异时,电子先行一步、空穴借力而上。此种交替注入方式,表现为普遍存在的一种动态载流子平衡,如图 11 所示。



11. 材料能带结构使得向中性量子点注入电子能力更强 (a),但是负电态中间态量子点形成后 (b),限域增强库伦作用对能级的调制使得电子注入能力受到抑制、空穴注入能力得到提升。 


 

5.3. 微观图像阐释宏观器件

 

再次是新机制应用于宏观器件

 

通过模型系统所揭示的电子 - 空穴交替注入微观电激发图像,也适用于 QLED 器件激子形成机制,并且很好地化解了 QLED 器件之性能与宏观电激发图像的矛盾。模仿对单量子点器件的研究,我们对电驱动下 QLED 进行瞬态光致发光探测,也能捕捉到到电激发引入的负电态量子点信号。更重要的证据是,这样的负电量子点态信号的出现,以及伴随而来的量子点薄膜光致发光强度降低,并不会造成器件电致发光效率的降低。因此,QLED 器件中,负电态量子点也是激子形成的一个至关重要的中间态——它诱发空穴量子点薄膜注入,并最终形成理想的单激子发光,如图 12 所示。

 

有了电激发的全新微观认识,QLED 理想电致发光性能与电子易注入的表象也就不再矛盾——量子点个体的限域增强库伦作用能在微观层面保障载流子的动态平衡。因此,以量子点 (或其它具有载流子限域效应的纳米发光材料,如钙钛矿纳米晶) 作为发光中心的器件,对电子与空穴在注入能力上的差异会有很大范围的容忍度,这是量子点作为电致发光材料此前未被揭晓的一大本征优势。

 

12. 由微观图像拓展的 QLED 激子形成机制。

 

 

6. 未完的话

 

啰嗦至此,行文也不免有些过于专业,但笔者相信我们对量子点电致发光“前夜”的初探是一项相当不错的初步结果。我们的收获是:

 

首先,回答了 QLED 激子如何形成这一最基本的科学问题,解开了QLED 领域一些长期存在的困惑(例如高效激子产生与非对称的载流子注入势垒并存的矛盾),让自己心情苏畅的同时,理解了目前研究思路和一些材料测试方法的局限性。当前,研究者很多时候将电激发类比做光激发,从而以光致发光光谱、光致发光量子产率等表征手段去阐述电致发光过程中的能量转移、激子复合等过程。我们注意到,在这些借助光激发的研究中,材料总是维持着电中性;而电致发光的过程中,无可避免会出现带电的中间态。这样的手法无疑是不足的、需要改进的。对此有兴趣的读者,可参阅笔者团队最近的论文:Deciphering exciton-generation processes in quantum - dot electroluminescence, Nature Commun. 11, 2309 (2020),  http://dx.doi.org/10.1038/s41467-020-15944-z

 

其次,量子点电致发光微观机理的研究与我们在高性能器件方面的努力形成了相得益彰的局面。激发态机理研究告诉我们,电激发过程中带电中间态非常重要。我们近期发表的另一项合作研究,正是通过解决量子点带电态的稳定性,搭建起了让器件电致发光性能通向量子点本征的优异光致发光性能的桥梁。对此有兴趣的读者,亦可参阅笔者团队最近合作发表的论文:Electrochemically - stable ligands bridge the photoluminescence - electroluminescence gap of quantum dots, Nature Commun. 11, 937 (2020)

 

最后,谨以如下用我们多年之心得体会所勾画出的一幅图来结束本文。笔者相信,作为 QLED 领域的研究参与者,我们需要以更微观的视角、更创新的思路、更严谨的推理,去描绘电致发光过程更动态的分子图像,从而理解 QLED 的工作机制和失效机制。这一进程,必将更有效地指导材料化学器件结构的发展,从而迎来量子点印刷显示实用化的“黎明”。


  

从性能优异的 LED,到见微知著的机理研究,量子点电致发光是基础研究与产业应用交汇的舞台

 


 

参考文献


  1. Ekimov, A. I. & Onushchenko, A. A. Quantum size effect in 3-dimensional microscopic semiconductor crystals. Jetp Letters 34, 345-349 (1981).

  2. Brus, L. E. A simple-model for the ionization - potential, electron - affinity, and aqueous redox potentials of small semiconductor crystallites. J. Chem. Phys. 79, 5566-5571 (1983).

  3. Shirasaki, Y., Supran, G. J., Bawendi, M. G. & Bulović, V. Emergence of colloidal quantum - dot light - emitting technologies. Nat. Photonics 7, 13-23 (2012).

  4. Peng, Z. A. & Peng, X. Formation of high-quality CdTe, CdSe, and CdS nanocrystals using CdO as precursor. J. Am. Chem. Soc. 123, 183-184 (2001). 

  5. Yang, Y. A., Wu, H., Williams, K. R. & Cao, Y. C. Synthesis of CdSe and CdTe nanocrystals without precursor injection. Angew. Chem. Int. Ed. 44, 6712-6715 (2005).

  6. Pu, C. et al. Synthetic control of exciton behavior in colloidal quantum dots. J. Am. Chem. Soc. 139, 3302-3311 (2017).

  7. Dai, X., Deng, Y., Peng, X. & Jin, Y. Quantum - dot light - emitting diodes for large - area displays: towards the dawn of commercialization. Adv. Mater. 29, 22 (2017).

  8. Colvin, V. L., Schlamp, M. C. & Alivisatos, A. P. Light - emitting - diodes made from cadmium selenide nanocrystals and a semiconducting polymer. Nature 370, 354-357 (1994).

  9. Dai, X. et al. Solution - processed, high - performance light - emitting diodes based on quantum dots. Nature 515, 96-99 (2014).

  10. Pu, C. et al. Electrochemically - stable ligands bridge the photoluminescence - electroluminescence gap of quantum dots. Nat. Commun. 11, 937 (2020).

  11. Albrecht, U. & Bassler, H. Efficiency of charge recommenation in organic light - emitting - diodes. Chem. Phys. 199, 207-214 (1995).

  12. Jha, P. P. & Guyot-Sionnest, P. Trion decay in colloidal quantum dots. ACS Nano 3, 1011-1015 (2009).

  13. Lin, X. et al. Electrically - driven single - photon sources based on colloidal quantum dots with near - optimal antibunching at room temperature. Nat. Commun. 8, 1132 (2017).

 


备注:

(1)   笔者邓云洲、金一政供职于浙江大学化学系,主要关注溶液工艺光电器件材料物理化学器件方面的研究。相关详情可见团队主页:http://device-chemistry.cn/home.php

(2)   题头小诗乃 Ising 杜撰 (新韵),以感佩物理人对量子点发光物理的探索。

(3)   封面图片来自于金一政实验室。

 


编辑:Ctrl