某天小编闲来无事浏览今年的高考题,全国卷II文科数学一道与钢琴相关的题成功引起了我的注意。大家总觉得我们理科生不懂浪漫,这道题看起来可以替我们评评理。




发现原位大三和弦和原位小三和弦在一组音中一共有10种情况,所以答案选C,你做对了吗?
什么是声音?

我们知道声音有高低、强弱、长短、音色等四种性质。振动发声就会产生一定的频率(Hz),对应的便是音高,而其传播的能量大小对应的是音强(dB)。由于发声体材料特性不同,会产生不同的音色,音色是一个比较玄学复杂的东西,它与发声体的性质、形状及其泛音的多少有关,比如二胡和钢琴弹拨同一个音给人的体验是完全不同的,比如班主任和小芳喊你名字给你的感觉也是不同的。

音频图像(图源:QIPOST《鋼琴音色的物理學》)
并不是所有的声音都好听,好听的是乐音,不好听的是噪音,但是萝卜青菜各有所爱,如何更标准地区分乐音和噪音呢?我们可以简单地根据声音振动状态的规则与不规则来定义乐音与噪音。在音乐中所使用的主要是乐音,并由一堆有规律的固定音高的音组成乐音体系。

乐音与噪声的波形图(图源:神州音响网)
乐音体系中的数学规律
乐音体系中的音,按照上行或下行次序排列起来叫做音列。在标准调音下,钢琴这种频率固定、音域广泛的乐器成功引起了小编的注意,于是我去搜了普通钢琴八十八键的频率对照图,可以从中明显地看出乐音体系所使用的音和音列。

钢琴八十八键的频率对照图 (图源:CSDN《基础乐理和钢琴》)



朱載堉:《乐律全书》
泛音与谐波的关系

傅里叶变换将函数的时域(红色)与频域(蓝色)相关联。(图源:维基百科)

谐振现象(图源:维基百科)
它们与基音之间的音程以及频率比是固定的:音程是一个八度(频率比为2:1),然后是一个纯五度(频率比为3:2),等等。一件乐器的音色是由其泛音的比例决定的,泛音离不开基音,否则就是无本之木了,泛音和基音一同共鸣,才形成了丰满完整的音色。
十二平均律与五度相生律的故事
取一基音,以C为例,将其频率f乘上3/2,即升高完全五度得下一音G。
将G升高完全五度得下一音D,D之频为(3f/2)*(3/2)=9f/4,高于原基准音之倍频,故将其除二,即降八度得9f/8。

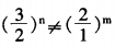
(m, n为正整数),随着纯五度的演进最后得到的音无法还原闭合,造成了音乐律学上的困难与妥协。并且五度相生律决定的音程之间频率比不统一,虽然大部分五度之间的音听起来是非常和谐的,但也有一部分不和谐的音存在。由五度相生律确定的音也面对一大难题,便是在乐曲转调的时候听起来也会很别扭,这也是导致了人们试图寻找其它的音律。
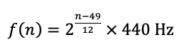
随着时代的发展,复调音乐(有两条及以上独立旋律)占了越来越多的比重,转调也因此变得更加重要。为了解决转调的难题,作曲家们尝试更优化的律法,十二平均律脱颖而出。十二平均律将八度的音程按频率比例分成十二等份,让两个相邻半音的频率比等于一个常数,即2的1/12次方。由于它纯五度两个音的频率比
,人耳基本上听不出“五度相生律”和“十二平均律”的五度音程的差别,由此十二平均律在交响乐队和键盘乐器中得到广泛使用。
在钢琴中黑键与白键其实并无本质上的区别,音色完全一样,相邻琴键间(j-i=1)的频率比都为2的1/12次方。白键是音的原型(自然中找得到的音),七个琴键构成基本音级(CDEFGAB),黑键是根据基本音级升高或降低一个半音而得到的音构成变化音级。由于黑键很规律的两个一组和三个一组排列,我们可以很方便地在钢琴中找到各个音的位置,钢琴小白也可以看着简谱演奏一段《小星星》。
和弦的起源
提到和弦,可能不少曾梦想仗剑走天涯的少年都拥有一把扑灰吉他,但弃于大横按,吉他伴奏主要是由几个和弦构成,那么你们有想过和弦是什么吗?

小编的扑灰吉他

协和音程
不协和音程
正因为这些听起来和谐的声音给人舒适放松的感觉,作曲家们便想办法将其组合起来,把它们按照三度(大三度(j-i=4)、小三度(j-i=3))关系排列起来的三个以上的音结合起来构成和弦。按三度音程关系构成的和弦,由于各音间保持一定的紧张度,音响协调丰满,并合乎泛音的自然规律,因而被广泛采用。
最后再回到这道题目上来,了解一下什么是原位大三和弦和原位小三和弦。原位和弦指以和弦的根音为低音(最低的音)的和弦,由三个音按照三度关系叠置起来的和弦叫做三和弦,在钢琴中的12个键依次记为a1,a2,...,a12 ,设0<i<j<k<13 ,大三和弦中j-i=4 表示根音到三度音是大三度,k-j=3 表示三度音到五度音是小三度,k-i=7 表示根音到五度音是纯五度。同理,小三和弦中 j-i=3 表示根音到三度音是小三度,k-j=4 表示三度音到五度音是小三度, k-i=7 表示根音到五度音依然是纯五度。
大三和弦与小三和弦
写完这些,小编不禁看了看在角落落灰的烧火棍,根据今天所学的乐理知识,可以来一段单弦演奏~
近期热门文章Top10
2. 吃完就扔的「薯片筒」,被中国医生拿来发了篇医学顶刊论文
5. 不需要充电就能用几十年的电池竟源自 200 年前的一个发现?
8. Nature:光解水催化剂效率接近 100%!马斯克移民火星的能源和氧气这下有了
10. 为什么超市卖的鸡蛋上没有屎
