GPT-3没有亲自上手,不如展望一下GPT-4?
原创
青暮、陈大鑫
AI科技评论
今天
作者 | 青暮、陈大鑫
编辑 |
丛末
近日,GPT-3在国内外引起了火爆的关注,各路大神都对它玩起了图灵
测试
,不知道小伙伴们有没有亲手实践一波,但是据说GPT-3的API申请列表早已满了,需要做维护才能后期开放。
那不如我们直接瞻仰一下GPT-4吧。
啊这?难道GPT-4已经诞生了?
并没有,但是我们今天来讨论一下实现GPT-4所需要的大概20万亿参数量的可行性。
reddit近日有一个议题引起了热烈讨论,楼主u/AxeLond称自己发现一篇论文(ZeRO)能基本解释从GPT-2到GPT-3的
增益
,即从15亿参数增加到1,750亿参数,是如何实现的。
语言模型的性能与参数量、数据集规模和训练吞吐量存在简单的幂律关系。
他甚至据此推出了下一代GPT即GPT-4的参数量、训练数据量和训练费用,规模惊人,称得上是“国家级”语言模型,即便是巨头科技企业都很可能负担不起GPT-4的训练。
ZeRO论文地址:https://arxiv.org/abs/1910.02054
现有的训练大型
深度学习
模型的方法,例如数据和模型并行,已经显示出基本的局限性,即无法将模型拟合到有限的内存中,同时兼具计算、通信和开发效率。
在论文中,研究人员开发了一种新颖的解决方案ZeRO以优化内存,在大大提高训练速度的同时,增加模型参数。
图:使用ZeRO-100B的600亿参数模型的超线性可扩展性和训练吞吐量。
ZeRO消除了数据和模型并行训练中的内存冗余,同时保持了低通信量和高计算粒度,从而能够按
设备
数量成比例地缩放模型参数。
研究人员通过分析内存需求和
通讯
量,表明ZeRO可以使用现有的硬件扩展到超过1万亿个参数。
1
内存优化
基本的数据并行化不会减少每个
设备
的内存,如果要训练超过14亿参数的模型,32
GB
内存(
GPU
)是不足的。
论文还讨论了如何对优化器状态、梯度进行巧妙分区,来减少
GPU
节点之间通信的需求,从而实现内存优化。但是即便不使用模型并行,也要在1个GPU上运行1个模型副本。
ZeRO-100B可以在128个
GPU
上训练多达130亿参数的模型,而无需模型并行,平均每个GPU的吞吐量超过40 TFlops。
相比之下,如果没有ZeRO,则最大的仅数据并行的可训练模型就只有14亿参数,每个
GPU
的吞吐量小于20 TFlops。
在
英伟达
V100和128个节点的DGX-2集群中添加16路模型并行处理,可以训练大约2,000亿个参数。
从16路模型并行开始,可以运行15.4倍的大型模型,而不会真正造成性能损失,而在运行16路模型并行和64路数据并行(1024个
GPU
)时,性能仅比峰值性能低30%。
图:比较模型状态的每
设备
内存消耗,以及三个阶段的ZeRO-DP优化。Ψ表示模型大小(参数数量),K表示优化器状态的内存乘数,N_d表示DP度。在本例中,我们假设模型尺寸ψ=7.5B,DP为N_d=64,K=12,基于Adam优化器的混合精度训练。
以上
增益
全部源自对梯度和优化器状态进行分区。研究人员讨论了参数分区,并说明它可以线性地减少内存(与
GPU
数量成比例)。
因此64个
GPU
可以运行64倍大的模型,并且仅需要50%的通信
带宽
。不过有待商榷的是,研究人员实际上并没有对此进行任何实现。
2
幂律关系
网友u/AxeLond表示,根据GPT-3引用
OpenAI
自家论文《Scaling Laws for Neural Language Models》的方法,我们能得出一个经验规律,即语言模型的性能与参数量、数据集规模和训练吞吐量存在简单的幂律关系。
图:随着我们增加模型大小、数据集大小和用于训练的计算吞吐量,语言
建模
性能会平稳提高。为了获得最佳性能,必须同时放大所有三个因素。当没有其他两个瓶颈时,经验性能与每个因素都有幂律关系。
损失(L)和模型参数数量(N)存在以下关系:
将模型参数转换为吞吐量(C,单位petaFLOP/s-days),我们得到:
GPT-3能很好地拟合这个等式:
C和N之间的关系如下:
如果我们把GPT-2至GPT-3的参数扩大规模同等应用到GPT-3至GPT-4上面,那么可以计算得到:C≈3.43×10^7,则N≈20万亿。
也就是说GPT-4将有20万亿个参数,因为GPT-3已经有1,750亿个参数(C≈18,300)。
GPT-3训练了3000亿token,但是GPT-4的训练需要大约16万亿token。据统计,英语维基百科有30亿token,网络抓取570
GB
的数据有4000亿token,因此要得到16万亿token,大概需要23 TB的数据,相当于Facebook每天要处理的数据量,也就是说,GPT-4的训练将需要巨头科技企业倾尽全力。
由于GPT-3的计算成本约为460万美元,则同等硬件环境下训练GPT-4的计算成本估计为86亿美元。
如果从内存的角度来看,使用参数分区训练更大的模型是如此容易,但是需要解决内存问题才能真正使它完全加载。
与V100相比,A100的计算量可增加3-6倍,但即便如此,成本也要高达14亿美元。
英伟达
在2020年第一季度报告的“数据中心”收入是11.5亿美元,所以仅仅为了训练“GPT-4”,几乎需要全球1个季度(3个月)的显卡供应,或者说至少得这个数量级。
3
GPT-4不值得?
这篇文章在reddit引起了热烈讨论。
网友tornado28认为,用如此巨额资金用于训练一个语言模型是不值得的:“如果我们有86亿美元用于建立一个语言模型,我建议投入50亿美元作为研究经费,并可以用剩下的36亿美元和3万篇关于语言
建模
的新研究论文来训练一个相当好的模型。
”
但是,这3万篇论文又会有多少是真正的
算法
突破呢?Science曾经在5月刊文提到:一些多年前的老算法经过微调,性能足以匹敌当前的SOTA,
机器学习
领域调参和炼金研究模式仍然盛行,
算法
的泛化能力有限。一句话总结就是:
有调查有真相!某些
AI
领域多年无实际进展
。
网友bohreffect认为,GPT-4的存在不切实际,并且没有必要:“先别说内存需求,世界上真的存在16万亿token的文本数据吗?在某种意义上,这个假想的GPT-4的VC维度似乎会超过英语本身的复杂性,因此会产生过拟合。”
如果GPT-4没有足够的训练数据,那就只需要记忆数据就行,这样的话它的存在并没有意义。
网友RusticScentedMale认为,问题不在于
算法
而在于计算:“GPT-3的成就不是通过发表更多的研究论文而是通过加大训练费用获得的,所以把钱继续花在研究经费上或许不是最好的选择,除非是关于如何更有效地构建并行计算芯片的研究。”
网友SrslyPaladin评估了所谓“16万亿token”是什么概念,GPT-4可能是文本生成模型的极限:“16万亿token大概是所有已印刷书籍的大小:1.5亿本书x每本书200页x每页300token= 9万亿token,但是你提出了一个很好的观点,假想的GPT-4可能代表了文本输入的有用性极限。”
如果GPT-4真的能学习全世界的文本数据,可能到时候就没有什么文本任务能难倒它,从而它能超
仿真
的通过图灵
测试
。
网友thunder_jaxx提到了
谷歌
的一项新研究,谷歌提出了Gshard模型,这个模型有6000亿参数,论文中的一张图能明显看出BLUE分数的提升与参数量增加的关系。
Gshard论文链接:https://arxiv.org/abs/2006.16668
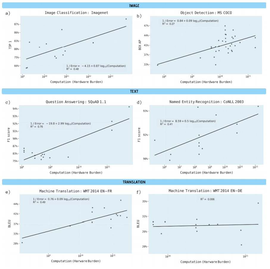
网友thunder_jaxx表示,我们也应该看看
MIT
这篇关于
深度学习
的计算极限的文章,第12页的图很有洞察力。“仅仅扩大计算规模并不是唯一的出路。GPT-3可以做很多有用的任务,但是要完全解决语言的细微差别,需要的不仅仅是计算,因为有太多模型“记忆”(过拟合)的例子了。我们需要一些全新的东西,就像原始的transformer一样。transformer为序列
建模
问题创建了一个范式转换。我们需要这样的东西来解决通用智能问题。”
ZeRO这篇论文再次揭示了
深度学习
模型性能和算力之间的强依赖关系,如何突破这个困境,以及如何在
算法
研究上取得真正的突破,仍然值得深思。
论文第12页的图:
图:
深度学习
应用程序的性能改善与训练该模型的计算
负载
有关(以千兆浮点运算为单位)。
参考资料:
https://www.reddit.com/r/MachineLearning/comments/i49jf8/d_biggest_roadblock_in_making_gpt4_a_20_trillion/
阅读原文,直达“ ECCV ”小组,了解更多会议信息!
预览时标签不可点
阅读原文
阅读
分享
赞
在看
已同步到看一看
写下你的想法
前往“发现”-“看一看”浏览“朋友在看”
前往看一看
看一看入口已关闭
在“设置”-“通用”-“发现页管理”打开“看一看”入口
我知道了
已发送
取消
发送到看一看
发送
GPT-3没有亲自上手,不如展望一下GPT-4?
最多200字,当前共
字
发送中