
审核专家:吴宝俊
299792458m/s,现在,我们可以轻易地得到光速的准确数值。但是直到近代以前,人们对光的速度都缺少一个准确的认识。甚至都不能确定光速到底是无限的,还是以极快的有限速度传递。
对这个问题,据目前已发现的文献记载,对光速的最早研究甚至可以追溯到古希腊时期。历史记载,恩培多克勒(前490年-前430年)是第一个宣称光速有限的人。他相信光是一种运动的东西,所以运行需要时间。古希腊、伊斯兰世界以及欧洲经典学者都对此进行了长期的讨论。直到1676年,奥勒·罗默首次对光速进行测定,才有了光速有限的结论。
1638年,著名科学家伽利略提出一项他曾经做过的实验。伽利略一行四人,分成两组,分别登上两座相隔甚远的山峰,每组各自携带一个光源——煤油灯。
他对煤油灯做了一个简单的改进,就是在煤油灯的一面加了一个滑盖,这样关闭滑盖,灯光就被挡住,如果把滑盖拉起,灯光就会照射出来。通过快速地拉动滑盖,就能让煤油灯一亮一灭,制造出看上去在闪烁的效果。
在伽利略的实验中,除了两盏煤油灯外,还需要两只一模一样的钟摆计时装置,以及记录数据的纸笔。他打算利用两边记录灯光开启关闭时间的方法来测算光的速度。

我们已经得知光速大约是30万千米每秒,而人的反应时间大概是240ms左右。因此我们几乎可以断定,伽利略的这个实验是测不出光速的。事实也是如此,意大利佛罗伦斯的实验学会(Accademia del Cimento)于1667年进行了伽利略的实验。在两盏灯相距约一英里的情况下,没有观察到任何的延时。我们把今天已知的光速数值代入这个实验进行计算,可以得出延时只有11微秒,这已经超越了人类反应的极限了。很显然,伽利略并没有测出光速,他得到的结论是:就算光速是有限的,它也肯定快得不可思议。而第一个测出一个比较靠谱数据的人,是奥勒·罗默。罗默观察木星的卫星木卫一,木卫一绕木星公转,绕到木星背后时被遮住就会出现卫星蚀。随着地球在公转轨道上移向木星,在地球上观测到木卫一蚀之间的时间间隔将逐渐变短;而当地球远离木星时,木卫一蚀的间隔则逐渐变长。简单介绍一下这种方法。首先由中学物理知识我们可以知道,木卫一是绕木星作匀速圆周运动的,那么木卫一卫星蚀的周期应该是不变的。罗默根据这些数据计算出,当地球距离木星最近时,木卫一蚀将比按照公转周期预测的时间提前约11分钟出现。而六个半月后,当地球距离木星最远时,木卫一蚀将比预期的时间晚11分钟出现。累加时间点相差高达22分钟!他意识到,这22分钟就是光在地球公转轨道上传播的时间。后来,克里斯蒂安·惠更斯利用这一数据加上对地球公转直径的估值,计算出光速大约为22万千米每秒,这一数据约有26%的误差。艾萨克·牛顿(Isaac Newton)在其1704年出版的《光学》一书中描述了罗默对光速的计算,并给出了光从太阳到地球传播所需的时间为“七到八分钟”。罗默和惠更斯的结果和实际相差非常巨大。直到19世纪,阿曼德·斐索发明了旋转齿轮法,并得出了315000 km/s的光速数值。莱昂·傅科进一步完善了斐索的方法,在1862年所得出的数值为298000 km/s。这一数据已经非常接近准确值了。
简单解释一下旋转齿轮法。
来源 | 《对旋转棱镜法和旋转齿轮法测光速的讨论》按照上图将实验用具摆放,当齿轮静止不动时,光线穿过透镜L进入人的眼睛当中。先缓慢转动齿轮W,由于光线会被齿轮所遮挡,我们会看见明暗相间的像(如下图乙)。将齿轮调整到一定的转速,使其在第一个缝穿过经过反射回来时,能恰好被相邻的第一个齿轮遮挡(如下图丁)。
这样,我们就不能看见光线了。此时,通过计算转速、光程、齿数,我们就能得到光速了。
来源 | 《对旋转棱镜法和旋转齿轮法测光速的讨论》后来,迈克尔逊凭借旋转棱镜法得到了更准确的数值。
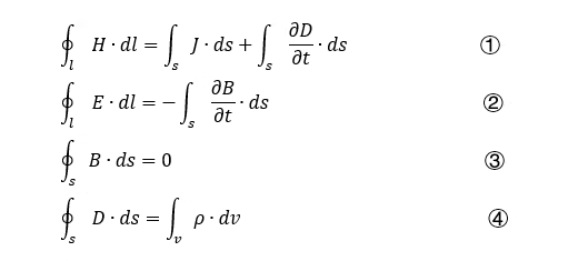
来源 | 《对旋转棱镜法和旋转齿轮法测光速的讨论》他选择了两个山峰,测出两个山峰间的距离,在第一个山峰上安装了一个强光源和一个正八面棱镜。由强光源发出的光经过狭缝射在八面镜的镜面1上,被反射到放在第二个山峰的凹面镜上,再由凹面镜反射回第一个山峰。如果八面镜静止不动,反射回来的光就在八面镜的镜面3上再次反射,经过望远镜,进入观测者的眼中。我们将光线假想为粒子,第一个粒子在经过棱镜1号面反射后,我们令棱镜以较小的转速转动。当该粒子经过远处的反射镜反射回来时,3号面已经不再与光线成45度角。此时该粒子无法进入观察者眼睛,因此观察不到光源的像。来源 | 《对旋转棱镜法和旋转齿轮法测光速的讨论》若缓慢提高棱镜转速,当光线反射回棱镜时,棱镜刚好转过1/8转,即2号面转至原3号面所在位置,则光线又可以进入观察者眼睛,使观察者重新看到光源的像。这样,棱镜转过1/8的时间,就是粒子从1号面经过反射,回到3号面的时间。光线可以理解为源源不断的粒子束,当我们将棱镜调整到合适的转速时,便能看见不断闪烁的像。由于视觉暂留效应,我们能看见持续的像,这一点对于观测也有一定影响。总之,在旋转棱镜法中,根据八棱镜转过1/8所用的时间和两个山峰之间的距离,就可以算出光速。迈克尔逊经过矫正之后,在1926年测出的光速是299796000 m/s,离真实数据已经非常接近了。上述方法基本都停留在光学测量的层次,在麦克斯韦方程组出现后,人们意识到光也是属于电磁波的一种。既然属于电磁波,那么通过测量光的频率和波长,根据c=λf,其中f是频率{Hz(也就是1/s)},λ是波长(m),自然就能得出光速了。既然光速是有限的,根据伽利略的相对性原理,速度都是相对的,以不同的参考物测出的速度是不同的。并且速度是可以叠加的。例如:假设人相对于地面的速度是5 m/s,高铁相对于地面的速度是83m/s,那么人在高铁上与高铁同向行进时,相对于地面的速度就是88m/s。那么,你在地面上用手电筒射出的光线和你在高铁上用手电筒射出的光线速度呢?难道二者速度也会不同吗?这个问题困扰了科学家们很久,直到麦克斯韦方程组的出现以及“光速是不变的”这个结论的得出——也就是光速不变原理,即光速相对于任何观察者来说,都是不变的。如图,利用大学物理知识以及微积分知识,可以得到光速的表达式。
利用以上公式我们成功得到了光速的值,并且从理论上证明了光速是一个常数,并且它相对于任何观察者来说,都是相同的。1905年,爱因斯坦总结了麦克斯韦等人的经验,发表了著名的狭义相对论,狭义相对论中的一个基本公设就是光速不变原理。1950年,艾森提出了用空腔共振法来测量光速。这种方法的原理是,微波通过空腔时它的频率为某一值时发生共振。根据空腔的长度可以求出共振腔的波长,再把共振腔的波长换算成光在真空中的波长,就可以计算出光速。1972年,埃文森得到了真空中光速的最佳数值:299792457.4±0.1 m/s。既然光速是一个常数,于是1983年国际度量衡大会(CGPM)重新制定了米的定义:“光在真空中行进1/299 792 458秒的距离”为一标准米。这个问题目前还无人能够回答。能够在1秒内绕地球转七圈半,光速已经非常快了,但这一速度对于广袤的宇宙来说,却是如此之慢。除太阳之外,距离我们最近的一颗恒星叫比邻星,距离我们达4.22光年。就是说即使我们以光速旅行,到达比邻星也要4年多的时间;而我们所在的银河系,银盘直径约为100000光年;根据现有的宇宙模型计算,目前我们可观测宇宙的直径更是高达930亿光年,并且还在不停地膨胀中。在描述宇宙之时,我们用光年来作为长度单位,但哪怕是人类目前最快的飞行器——太阳神2号,达到的速度也不过是0.000234倍光速。随着科技发展,或许在遥远的未来,星际航行将不再是幻想,让我们也能有机会体验一把“接近光速”的感觉。
