进展 | 二维原子晶体硒化铟高性能光电探测器的实现
N04
中科院物理所
昨天
收录于话题
二维层状原子晶体材料的物理性能,如带隙等,随厚度减小而变化,在光子和光电子器件的应用中具有广阔的前景。光电探测器作为重要的光电应用单元器件,引起了广泛的研究兴趣,近年来基于二维原子晶体材料的光电晶体管成为最主要的关注对象。除半金属的石墨烯外,半导体二维原子晶体材料,如过渡金属硫属化合物、II-VI族、III-VI族层状半导体等成为了光电探测器沟道材料的优良候选者。但是,由于在大栅极电压下存在较大的暗电流,基于这些二维原子晶体材料的光电探测器的固有瓶颈是光开关比和光响应率小。硒化铟(InSe)作为一种典型的二维层状III-VI族半导体材料,具有优异的电学性能(载流子迁移率~
10
4
cm
2
V
-1
s
-1
)以及适中且可调的直接带隙,光谱响应覆盖了从近红外到紫外的范围,在光电器件中表现出巨大的潜力。因此,如何优化器件结构充分发挥其在光电探测器领域的应用,成为研究者重点关注的关键科学问题。
中国科学院物理研究所/北京凝聚态物理国家研究中心纳米物理与器件重点实验室高鸿钧院士带领的研究团队多年来一直致力于新型二维原子晶体材料的制备、物性调控及原型器件构筑等方面的研究,并取得了一系列重要研究成果。例如他们成功实现了黑磷的电子掺杂,并构筑了黑磷栅控二极管、逻辑反相器、双向整流器等一系列平面器件(Nano Lett. 16, 6870 (2016)),进一步利用交联PMMA作为顶栅,SiO
2
作为背栅,通过双栅调控成功实现了
黑磷
的单极性(N型或P型)
场效应晶体管
(2D Mater. 4, 025056 (2017))。
近期,该研究组博士生吴良妹(已毕业)和鲍丽宏副研究员等针对InSe和传统栅介质(如SiO
2
、Al
2
O
3
、HfO
2
等)的界面特性不兼容所诱导的额外
载流子
散射过程从而造成InSe的
场效应晶体管
的
迁移率
、开关比严重下降的关键科学问题,利用二维原子晶体
异质结
堆叠技术,将InSe作为沟道
材料
、六方
氮化硼
(h-BN)作为背栅、石墨 (graphite)作为栅
电极
,成功构筑了InSe/h-BN/graphite异质结。对该异质结进行高分辨扫描透射显微镜表征发现InSe与h-BN之间具有原子级锐利的界面特性(与中国科学院大学周武教授合作)。这一原子级锐利的界面特性极大的降低了
载流子
在沟道与栅介质界面处的散射,使得以该异质结作为核心单元构筑的场效应晶体管表现出高达1146
cm
2
/Vs的
电子
迁移率
,~
10
10
的电流开关比。进一步利用该
异质结
构筑的逻辑反相电路的电压
增益
高达93.4。利用二维原子晶体
材料
的良好的力学柔韧性,将该异质结放置于柔性衬底,在柔性衬底施加高达~2 %的应变时,相应的
场效应晶体管
的
器件
性能并没有发生明显退化,显示了该
异质结
在
柔性电子
学领域的潜在应用。以上结果以“InSe/h-BN/graphiete heterostructures for high-performance 2D electronics and flexible electronics”为题发表于 Nano Res.
13
, 1127-1132 (2020)上。
基于InSe与h-BN间的原子级锐利界面特性,该研究组联合培养博士生刘丽和鲍丽宏副研究员等进一步利用有机透明铁电薄膜作为栅介质成功构筑了高性能InSe
光电
探测器
。与传统栅介质相比,铁电栅介质具有极高的相对介电常数(~
10
3
),利用其自发极化特性,有望深度耗尽半导体沟道中的剩余
载流子
,从而极大的抑制
光电
探测器
的
暗电流
,提高
光电
探测器的光开关比、光
响应率
等性能。他们使用透明铁电P(VDF-TrFE)共聚物薄膜作为顶栅介质、半透明铝膜作为顶栅
电极
、InSe作为沟道、h-BN作为衬底,制作了InSe
光电
探测器(图1)。
图1. 多层InSe
光电
探测器
的
器件
结构。(a)γ-InSe的
晶体结构
。(b)
单色光
照射下,多层InSe
光电
探测器的结构示意图。(c)18 nm厚InSe薄片的
AFM
图像。
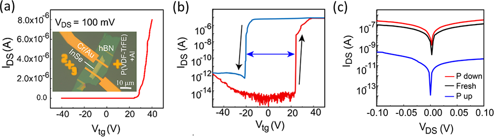
多层InSe沟道在铁电P(VDF-TrFE)调制下的转移曲线中存在一个~ 40 V的逆时针存储窗口,这是由铁
电极
化转换过程引起的。沟道电流(I
DS
)随着顶栅电压(V
tg
)增加而增加,表明InSe沟道为典型的n型导电,电流的开/关比高达~
10
8
(图2 a-b)。InSe 晶体管在铁电P(VDF-TrFE)薄膜三种极化状态调制下的输出特性表明
载流子
在极化向上状态下完全耗尽,其沟道电流I
DS
最小,使其
暗电流
低至~
10
-14
A,而且沟道电流主要来自于光生
载流子
的贡献(图2c)。
图2. 铁电栅控的InSe晶体管室温下在黑暗环境中的电学特性。(a)以P(VDF-TrFE)为铁电顶栅
电介质
的InSe晶体管在V
DS
=100 mV时的转移曲线。(b)对数标度,从-40 V到40 V的双扫观察到 ~ 40 V的大逆时针存储窗口。(c)在零栅极电压下,具有三种状态铁电薄膜的InSe
FET
的输出特性。
而对于自然状态和极化向下状态,沟道电流不仅来源于光激发
载流子
,热离子/隧穿载流子也有很大的贡献(图3)。
图3. 零栅极电压下,多层InSe
光电
晶体管在铁电P(VDF-TrFE)层的三种极化状态下的光响应特性。(a-c)在V
DS
= 0 V下具有三种不同铁
电极
化状态的InSe
光电
晶体管的截面图。(d-f)在三种状态下,黑暗和光照时光电晶体管的I
DS
-V
DS
特性。(g-i)铁电栅控的InSe
光电探测器
在三种状态下的光开关特性。
铁电顶栅处于极化向上状态时,
光电
流I
ph
与
激光
功率之间呈幂律关系:I
ph
∝ P
0.44
,表明光生
载流子
的效率与吸收的光子通量非线性相关,也反映了复合过程(陷阱态)所产生的光生载流子的损耗。在
激光
功率0.04 mW/
cm
-2
下,光
响应率
高达14250 AW
-1
,探测率高达1.63×10
13
Jones,比之前的文献报道提高了两个数量级。InSe
光电探测器
的
光电
流开关的上升时间(t
r
)和
下降时间
(t
f
)分别为600 μs和1.2 ms,均优于之前报道的基于其他二维原子晶体的铁电栅控
光电探测器
(图4)。
图4. 铁电栅控的InSe
光电探测器
在极化向上状态下的光响应特性。(a)
光电
晶体管的I
DS
-V
DS
行为。(b)光照功率依赖的
光电
流。(c)InSe
光电探测器
的
响应率
和探测率。(d-f)InSe
光电
晶体管在极化向上状态下的时间分辨光开关行为。
该工作提出了一种利用铁电栅介质来调控二维原子晶体光晶体管的
载流子
电子输运的新方法,有效抑制了其
暗电流
,成功解决了当前二维原子晶体光探测器的光开关比和光
响应率
小的瓶颈问题,为未来基于二维原子晶体
光电探测器
的开发提供了一条新途径。
相关结果以“Ferroelectric-Gated InSe Photodetectors with High On/Off Ratios and Photoresponsivity”为题发表在Nano Lett.
20
, 6666-6673 (2020)上。刘丽(湖南大学联合培养博士生)为第一作者,鲍丽宏副研究员和湖南大学
秦志辉
教授为共同联系作者。该工作的合作者包括美国Vanderbilt University的Sokrates T. Pantelides教授等。该工作得到了科技部、基金委以及中国科学院的资助。
编辑:hxg
近期热门文章Top10
↓ 点击标题即可查看 ↓
1.
你泡茶时没发现什么不对劲吗?爱因斯坦用它发了篇论文并开创了一个学科
2.
究竟怎样才能早起不困啊!!!
3.
学学北极人抗寒大法,你早晚用得上
4.
尼古拉·
特斯拉
,到底有多神?
5.
如果做不好科研,我就只能回去继承家产了
6.
没有这项技术,赛博朋克2077就算残废?
7.
超级黑PK超级白:纳米
材料
如何欺骗你的眼睛
8.
为什么暖气片总会熏黑我的墙? | No.236
9.
这个最最基本的问题,
物理学
家却还没有标准答案
10.
学霸和学渣的大脑,有什么不同?
点此查看以往全部热门文章
预览时标签不可点
收录于话题
#
个
上一篇
下一篇
阅读原文
阅读
分享
收藏
赞
在看
已同步到看一看
写下你的想法
前往“发现”-“看一看”浏览“朋友在看”
前往看一看
看一看入口已关闭
在“设置”-“通用”-“发现页管理”打开“看一看”入口
我知道了
已发送
取消
发送到看一看
发送
进展 | 二维原子晶体硒化铟高性能光电探测器的实现
最多200字,当前共
字
发送中