道理我都懂,但是这种列车为什么会自己摆动?
原创
冯遥
中科院物理所
前天
收录于话题
#线上科学日
120个
在清明假期开始前一天、也就是4月2号的中午,小编结束了上午的工作,打开手机准备冲浪时,看到了一则让人沉痛的消息:
台铁一趟载有大约350人的列车“太鲁阁”号在进隧道时,和滑落的工程车迎面撞击,至少4人已无生命征象
。等到小编晚上再看相关报道时,最新消息已经变成“
事故已造成至少54人死亡
”。
图源 微博
在浏览相关新闻时,小编注意到,许多人在分析这场事故的相关原因时,都会提到“太鲁阁”号列车是一趟
摆式列车
,而台湾在2018年发生脱轨事件的
普悠玛
号列车也是一款摆式列车。小编进一步搜索后发现,尽管摆式列车在其他国家以及中国台湾地区应用广泛,比如西班牙的
Talgo
、瑞士的
ICN
摆式列车等等,但摆式列车在我国大陆地区却十分罕见,仅在广深铁路上运行过一列从瑞典引进的
X2000摆式列车
,并在2007年便已停运。
台湾的太鲁阁号(右)和普悠玛号(左) 图源
微
博
如果你不是一个火车爱好者,那你想必和此时的小编一样,小小的脑袋里装满了大大的疑问:
什么是摆式列车?相比普通列车,摆式列车有什么优缺点?为什么我们国家只有台湾省运营摆式列车呢?
列车怎么转弯
在介绍
摆式列车
之前,我们首先得明白它是如何转弯的;而要说明
列车的转弯原理
,就不得不顺带一提
汽车的转弯
原理(
额外补充的知识点,不要钱!
)。
众所周知,
汽车通过方向盘来控制前轮偏转从而实现对方向的操控
;但这个答案并不完备,汽车想要实现转弯,离不开一个关键的部件:
差速器
。
图源
网络
汽车转弯时,一个
车轴两端车轮行驶的路程是不一样的
——外侧轮子走的轨迹半径要比内侧轮子的轨迹半径大,因此它们会有不同的
转速
来弥补距离的差异。而
差速器
,顾名思义,就是
在汽车转弯行驶时、调整左右轮的转速差、保证两侧的驱动车轮做转速不同的纯滚动运动的装置
。
如果你对列车略有了解,那你肯定知道列车并没有方向盘;在没有方向盘操纵的情况下,列车如何转弯呢?有人会说了,靠它底下铺设的铁轨,铁轨怎么走,列车怎么跑。
但这个答案也不完整,因为它没有解决列车所面临的和汽车一样的问题:
如何实现内外侧车轮行程不一样
?答案就是
列车的车轮
。如果你观察过一列静止的列车,或许能发现它的车轮并不是一个标准的圆柱形,相比圆柱,列车的车轮更像一个半圆锥。我们通常把车轮上和铁轨接触的部分叫做踏面,随着车轮踏面和铁轨的接触位置变化,
车轮的滚动半径从内(靠近车轴的方向视作内)到外逐渐变小
。当列车通过弯道时,向心力使得
外侧
(行驶路程更长的一侧)车轮踏面和铁轨的接触位置
在车轮半径较大的位置
,
内侧
车轮则
以
较小半径在内轨上滚动
,这样便可以解决内外轮滚动距离不同的问题了。
图源
参考资料[1]
当然,如果你学过
高中物理人教版必修二第五章
,那你肯定知道列车在转弯过程中还需要一个
向心力
。于是我们再仔细观察一遍列车的车轮,发现它除了半径逐渐变化外,车轮的内侧(此处依旧将靠近车轴的方向视作内)还有一部分突出的
轮缘
,它除了在弯道上起到
引导轮对(车轮和车轴所组成的结构)通过曲线的作用外,还为列车提供一部分向心力
。为了避免轮缘提供全部向心力从而导致的轮轨过度磨损以及随之而来的
安全
隐患,我们会发现在转弯处,
铁轨的外侧会加高一部分
,使得列车发生倾斜;此时,列车重力和铁轨支持力的合力为列车的转弯提供了一部分向心力,使得列车成功转向。
图源
参考资料[2]
什么是摆式列车
在
不改变铁路曲线半径的
情况下,如果想要
提高列车在转弯时的行驶速度
,就要
增加车辆所受到的向心力
。在看完了上面的内容后,也许你会脱口而出:那就
增高外侧铁轨的高度
呗。但是这种方法只适用于列车速度不是很快的情况下,当列车高速运行时,车辆以过高的速度驶过急弯,
外轨超高会增大侧翻的可能性、影响列车的
安全
。
所以铁路想要实现高速一般有两种途径:
第一种是通过建设新的高标准线路或者大规模改造既有线路
,加大铁路轨道的曲线半径,发展新型高速列车,比如中国的CRH系列高速列车;
另一种是在现有的线路下,通过改善车辆本身的性能
,提高列车在弯道处的速度,在这样的思路下,摆式列车应运而生。
倾斜过弯的JR北海道283系列车 图源
维基
所谓
摆式列车
,就是
通过倾摆系统使列车在通过曲线时、使得车体向曲线内侧方向倾摆一定的角度
,这样相当于增加了一部分外轨超高;在列车以更高的速度通过曲线时,车体的重力
加速度
横向分量可以平衡更大的离心加速度。因此,相较于普通列车,
摆式列车通过一般弯道时会以较快速度行驶,可以节省行驶时间
。
摆式列车可以分为靠惯性使车体自行倾斜的
被动摆式
,以及利用感测器检测向心力大小、再透过电动或油压等方式强制使车体主动倾斜的
主动摆式
。前者主要是由
日本
于国铁时代所研发并加以实用化,而后者主要是由欧洲方面所主导,其中又以
意大利
所开发的摆式列车最为成功与普及。
图源
参考资料[3]
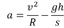
传统车辆以速度v通过半径为R的曲线时,旅客所承受的离心
加速度
为
其中,a是未平衡离心
加速度
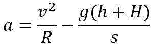
,v是列车的曲线通过速度,R是曲线半径,g是重力加速度,h是外轨超高,s是左右车轮踏面的横向跨距。而当摆式列车倾摆一定角度、使得列车再增加高度H后,旅客所受到的未平衡离心加速度为
可以看到,
摆式列车通过车体倾斜,减小了车体的未平衡离心
加速度
。因此当传统列车和摆式列车具有相同的未平衡离心
加速度
时,
摆式列车的曲线通过速度要更高
;而旅客承受的离心
加速度
和乘坐舒适度密切相关,所以在相同的车辆运行速度下,
由于摆式列车的旅客所承受的离心
加速度
更小,他们的乘坐舒适度更高
。
为什么大陆少见摆式列车
许多国家选择摆式列车,
一方面是因为没有空间建设新线路
,比如
英国
多数的铁路都是早年车速甚低的时候建造,而这些线路现在都变成了
建筑密集的地区
,要重建比较困难,
意大利
则是
因为多山,线路必然多弯
,所以也选择摆式列车;
另一方面是因为大面积兴建新线的成本较高
,对于一些经济不发达、人口不稠密的地方来说不太经济。但是对于中国而言,这些都不是问题,
中国:A过去就完事儿
。而且摆式列车的提速余地有限,以及线路的维修成本远大于普通车,并且客货混跑的情况下提高客车速度会增加调度火车的难度,基于种种原因,摆式列车在我国大陆地区并没有得到大力发展。(而且高铁不香吗
中国高铁CRH2C&CRH3C 图源 维基
如同某乎下一位高赞答主所说,一场事故,很少由单个因素构成。除了滑落的工程车以外,其他的因素是否也造成了这场灾难的发生,我们不得而知,但肯定的是,没有人愿意看到这样沉痛的事故再一次发生。
清明:愿逝者安息!
参考资料
[1]
Train wheel science.
[2]Hay, William W. Railroad engineering. Vol. 1. John Wiley & Sons, 1982.
[3]张志波. 电动摆式列车关键技术研究[D].
西南交通大学
,2012.
[4]
知乎:摆式列车(一)
[5]
台铁列车疑因撞上工程车脱轨,已致51人死亡,目前救援情况如何?
编辑:
fengyao
近期热门文章Top10
↓ 点击标题即可查看 ↓
1.
我能想到最快乐的事,就是把所有异性都处成朋友
2.
硬核解读:如何学好高中物理?
3.
你管这破玩意叫计算机?
4.
没有人比我更懂牛排……吧?
5.
童年迷思:为什么一逛超市就想把手伸进大米里?| No.246
6.
就为这顿饺子,我才学的物理
7.
他说有好多平行宇宙存在,但他并不是民科
8.
假期变慢小技巧
9.
物理学
的十大预言
10.
至少多少个水分子,才能叫一滴水?
点此查看以往全部热门文章
预览时标签不可点
收录于话题
#
线上科学日
120
个
下一篇
今天没有推送,千万不要点开!
阅读
文章已于
2021/04/04
修改
分享
收藏
赞
在看
已同步到看一看
写下你的想法
前往“发现”-“看一看”浏览“朋友在看”
前往看一看
看一看入口已关闭
在“设置”-“通用”-“发现页管理”打开“看一看”入口
我知道了
已发送
取消
发送到看一看
发送
道理我都懂,但是这种列车为什么会自己摆动?
最多200字,当前共
字
发送中