以下文章来源于量子材料QuantumMaterials ,作者董帅、陈军
本公众号致力于推广量子材料领域的优秀研究成果,发表相关信息及文章,促进学术交流与进步。为学者和读者服务是我们的唯一目标。

来源:量子材料QuantumMaterials
作者:董帅、陈军
磁与电
自然多有定规程
物理风闻抗议声
竭尽韶华添白发
回头一笑续长征
0. 编按
相比于物理学每个“新朝代”的初创时期,现在物理人用绝顶聪明的脑袋和智慧面对的都是一些前人留下的硬骨头和贫瘠土地。初创时期的物理人如摧枯拉朽,只管向前奔跑,都是新发现和新效应。而现在的物理人为了向前走一小步,都要费脑门子力气了。
这种现象,在凝聚态物理中有个对应的效应,叫“小极化子”或者就叫“极化子”。它定义载流子在固体中的迁移。按照张裕恒老师的说法,小极化子相当于是一个跑步人双腿被绑定了很重的沙袋,跑起来如履华山上那 60 度的陡坡,很是不敞亮。现在物理人每每想遐思一番,都要受到很多当前物理思维的制约,这也不能、那也不可。因此,自古华山一条路,大概就是如此!
比如说,静态条件下铁电性与铁磁性共存与耦合问题,已经消耗了比宇宙尘埃还要多的物理人大脑细胞,依然是没有多大进展。许多聪明的物理脑袋浸淫其中,付出很多,收获少少。正如 Ising 在学院网站上的个人简介:“从事凝聚态物理和材料物理研究三十年,主要时光都消耗在学习与摸索之中,付出与辛苦难书、收获与成绩却微薄”,就是这个感慨。
这里有展示一个小例子,让我们看到有些聪明的脑袋是如何使尽浑身解数,也还没有完全搞定一个“小”问题。是可唏嘘熟不可唏嘘,如图 1 所示,大概也是如此!

图 1. Making impossible possible 的代价。
https://www.tcnorth.com/
1. 引子
磁性材料在信息存储、信号转换等方面有着巨大的应用市场。但目前这些器件中控制磁性的方法只有磁场和电流。电流会产生巨大焦耳热,产生可控磁场也需要电流 + 线圈,这些操作给磁性器件进一步小型化与节能化带来了难以逾越的障碍。如果能实现电场直接控制磁性,则可以实现理想中的“多快好省”。这一途径一直是物理人的梦想。

图 2. 左:电控磁理想目标,电场可以翻转磁化。右:磁与电在对称性方面的不相容。
但众所周知,固体中的磁性和电极性相互独立,甚至存在着互斥的矛盾,如图 2 所示。磁电耦合困难的物理本源在于磁化 (或磁场) 与极性 (或电场) 遵循不同的对称性。磁破坏时间反演对称,但却对空间反演无动于衷。而 (静) 电破坏空间反演,却不管时间反演。麦克斯韦老爷子倒是把两者结合了起来,创造了《电动力学》这门大课。但实际上,和磁性混在一起的是动态的电 (既电流、或者交变的电场)。动态意味着“时间”作为“第三者”将磁与电连接起来了。
因此,想在固体中实现磁电耦合,同样也需要找到一个“第三者”,作为磁电之间的媒介。在过往十余年间,物理人和材料人协同创新,撸起袖子加油干,克服困难也要上,对磁电耦合及多铁材料进行了广泛研究。虽然追求电控磁性之路仍然漫漫,但也算获得了若干突破进展,其中之一就是找合适的“第三者”。
在电控磁的研究中,目前物理人给磁与电找的“第三者”媒介可大致归入如下三类:
2. 第三方媒介
2.1. 应力媒介
最简单的磁电耦合之路是将铁磁性材料与铁电性材料复合起来。铁电材料普遍具有铁弹性,因此用电场调节其电极化,自然就能带动其晶格畸变。这样的晶格畸变从铁电材料通过界面传递给近邻的磁性材料。原则上,晶格畸变对于磁性材料也多多少少有点影响,从而实现电控磁性,如图 3 所示。

图 3. 应力媒介的电控磁。左:最简单的磁电耦合器件 (左侧),右侧为参照物铅笔头。商用铁电 PZT 材料与商用磁致伸缩材料Terfenol - D 通过 502 胶水黏在一起,引上两根电线,就可以用电场调控磁性了 [于昊等人,Appl. Phys. Lett. 86, 032508 (2005)];右:纳米尺度的铁电-铁磁复合物 [Zheng 等人,Science 303, 661 (2004)]。
这种方法虽然物理上很“土”,目前却是最实用的,可能已经在某些特定场合得到了应用。但这种调节磁性的能力毕竟有限,有点“隔靴挠痒”的味道。毕竟,人家铁磁体也是有“韧性”的,不是轻轻一“捏”或者一拉就“变节”的。
如果想进一步强化提升电控磁的能力,比如实现 0 – 1 的开关,那就需要精心设计应力媒介 2.0 版本了。如图 4 所示,构造铁磁与铁电的薄膜异质结,通过调节铁电畴结构,从而改变畴内的铁弹取向,带动近邻铁磁的磁化取向。这样的方案可以实现电畴与磁畴的一一对应,你转我也转,一幅妇唱夫随的和谐画面。
这幅画面的看点在于,铁磁材料的磁化具体指向哪儿是由磁晶各向异性决定的。这个磁晶各向异性,又是由自旋轨道耦合作用控制的。而自旋轨道耦合作用,又与晶格的结构有关。因此,掌握了铁弹性这把钥匙,就可以开启电控磁的大门了。

图 4. BiFeO3 与 La0.7Sr0.3MnO3 的层间耦合。BiFeO3 铁电畴 (其实是铁弹畴) 决定了 La0.7Sr0.3MnO3 中铁磁畴的磁化取向 [ 游陆等人,Adv. Mater. 22, 4964 (2010)]。
上述 2.0 版本成功的关键在于,BiFeO3 具有多重极化轴 ( <111> 等效 8 个方向,因此铁弹畴有 4 个方向),而 La0.7Sr0.3MnO3 磁晶各向异性又很小,极易在面内调控。如果将 BiFeO3 换成 BaTiO3 或其它存在多种铁弹轴的材料,把 La0.7Sr0.3MnO3 换成其他软磁性的材料,也能起到类似的效果。
这种机制有点类似印刷术,模板是铁弹畴、字是铁磁畴。一言以蔽之,这是一个畴对畴的调控。通过翻转畴内铁弹轴的方向,或者移动铁弹轴的畴界,物理人可以很方便地用电场“书写”铁磁畴。
不过,这个电控磁好像与图 2 中最初的设想:电场翻转极化、从而翻转磁化,有点不一样。这种机制一般可以实现 90 度或者其它非 180 度的磁性转动。因为 180 度的极性翻转,并不改变铁弹畴。当然也有物理人通过 2 次连续铁弹性 90 度转动,再辅以一点小偏置磁场,实现“90 度 + 90 度”等于 180 度翻转的目标。
2.2. 载流子媒介
除上述应力调控之外,铁电场效应也可以调控磁性。铁电材料的体极化对应了表面 / 界面的束缚电荷。这些电荷产生的电场可以调节近邻磁性材料界面附近的载流子 (电子或空穴) 浓度,从而改变磁性大小,甚至磁相变。在本机制中,铁电极化的 180 度翻转,是可以调节磁性的,也不牵涉畴。但要实现如图 2 所示理想的电控磁 180 度翻转,也并不容易。
还是那句话,电场也好,电极性也罢,无法破坏时间反演对称。也就是说,对于电场和极化而言,磁性正反是一样的。这种两条路各自走到黑的顽固劲头,物理人也是服了、叹气连连。
当然,叹气归叹气,事在人为还是要的。笔者之前有工作 [翁亚奎等人, Phys. Rev. Lett. 117, 037601 (2016), https://doi.org/10.1103/PhysRevLett.117.037601] 通过利用亚铁磁的双重自由度 (反铁磁序 + 净磁矩),可以克服上述对称性限制,理论预言可实现电控磁 180 度翻转。我们在期待有实验课题组能够寻声而往、求仁得仁。
2.3. DM 作用媒介
Dzyaloshinskii – Moriya (DM) 作用是磁学中一个重要的概念,其本质起源于自旋-轨道耦合,以自旋叉乘自旋为数学表达形式,能量尺度一般在 meV 量级。而且 DM 作用的方向、符号、大小又与晶格对称性密切相关。因此,改变铁电极化,就可以调控多铁材料自身或近邻铁磁层的 DM 作用。看起来不错!
该机制不同于铁弹性,180 度极化翻转前后的 DM 作用符号会相应变号。这就比磁各向异性多了花样。原则上,精心设计的话,可以实现 180 度磁性翻转。例如,Ramesh 研究组就实验观测到了 BiFeO3 薄膜中由 DM 作用导致的净磁矩随铁电极化翻转,从而再带动近邻的 Co0.9Fe0.1 磁化翻转 [ Heron 等人, Nature 516, 370 (2014)]。
不过,前面提到,DM 相互作用的能量尺度一般在 meV 量级,其导致的 BiFeO3 倾斜净磁矩总是很微弱,是反铁磁背景下的高阶修正,而非真正意义上本征铁磁性调控。
3. 第四条路
上述三种方法,仔细想来,都在尽力让电去适应磁、让电产生某种磁喜欢的效应去取悦之。
那么反其道而行,能否让磁适应电呢?
实际上,所谓的第二类多铁材料大抵就是如此。例如,具有手性结构的磁性,可以破坏空间反演对称,从而诱导出微弱的电极化。但正因为电极化极其微弱,所以基本上磁控电容易、电控磁则很难想象。而磁控电,即使物理做得贼漂亮,对于应用也是鸡肋。
3.1. 路的样子
做物理的人,擅长在不同尺度上用不同的理论来刻画物理图像,对于磁性的认识也是如此。近十年来,物理人的兴趣从宏观磁性渐渐转向了磁性微结构,包括斯格明子 (skyrmion)、半子 (meron)、磁泡、畴壁等等。这些具有拓扑性质的“小家伙”们往往比宏观磁性更能吸引物理人的目光。他们提出了大量方法,来操控形形色色的微观磁结构,例如电流、微波、热流、应力等。而对电场的调控,目前已有的手段仍然存在很大空缺,这也是我们所追寻的第四条路。
事实上,这也不是什么奇思妙想。例如,王凌飞等人就在 SrRuO3 / BaTiO3 异质结界面处实现电场调控斯格明子。这里所依赖的是 BaTiO3铁电畸变在界面所诱导的 DM 作用 [ 王凌飞等人, Nat. Mater. 17, 1087 (2018)]。实际上,在磁畴壁处,也可能存在天然的手性磁结构,从而破坏空间反演对称。Logginov 还提出可以使用电场梯度去移动磁畴壁的设想 [ JETP Lett. 86, 115 (2007); Appl. Phys. Lett. 93, 182510 (2008)]。

图 5. (a) 亚铁磁畴壁示意图,两个子格 A 和 B 用不同颜色区分,磁矩 m 大小不相等。为了方便讨论,我们定义了归一化交错磁矩 n 从而转化为 n 的铁磁畴。畴壁的手性特征在于畴壁中心处 n 的方位角:顺时针 (ϕ = 0) 或逆时针 (ϕ = π)。 (b) DM 相互作用矢量 D 的主要成分垂直于 A – X – B 平面,其符号由阴离子 X 的位移方向决定。 (c) 由 DM 相互作用产生的畴壁能量,对于给定的手性,DM 矢量的反转使畴壁处于能量高点,从而导致畴壁手性自然翻转。
3.2. 路起路落
笔者工作与之有所不同。我们考察具有极性畸变的一维铁磁或亚铁磁性链。如图 5 所示,铁磁或者亚铁磁畴壁的手性 (chirality,即左旋还是右旋) 和晶格的极性 (polarity) 均破坏空间反演对称,可以通过 DM 相互作用耦合在一起。在给定极化方向之后,左旋和右旋之间存在一个 2πD 能垒 (D 是 DM 相互作用的分量)。这时候翻转铁电极化,D 随之变号,原本稳定的手性畴壁变成了能量高的亚稳态。这就像静卧在势井底部的小球,随着势井拱成了势垒,一下子在势垒顶部变得摇摇欲坠了。这更有点像沧海桑田,原本海底隆起成山脉,本来躺在海底安安稳稳的石头纷纷滚下山来。
当然,我们都知道,亚稳态的畴壁在外界无限小的微扰下,会通过自发进动过程,耗散掉 2πD 的能量,实现手性的翻转,从而使得体系再次落到能量势井底部。很有趣的是,如图 6 所示,笔者的动力学模拟 (基于 LLG 方程) 发现,这样的耗散过程会伴随着磁畴壁的移动,而移动的方向可以通过施加一个小的偏置磁场或者偏置电场来控制。更有趣的是,畴壁移动的最终距离与 DM 作用的强度并无显著关系,而与材料体系的阻尼系数、亚铁磁比等因素有关。这无异于为应用带来了方便,毕竟 DM 相互作用普遍比较弱。
笔者的模拟表明,畴壁移动的最终距离可以在 10 – 100 nm 量级甚至更远,而且这可以借助纯电场可以实现的,无需引入磁场。

图 6. (a - c) DM 翻转之后,在 0 ps (逆时针 Néel 型)、23 ps (Bloch 型) 和 36 ps (顺时针 Néel 型) 处畴壁示意图。左图:俯视图,平面内的 xy 分量用箭头表示,z 分量用箭头颜色表示;右图:对应侧视图。(d) 不同的 α 下,畴壁中心的运动距离 ( | d | ) 随时间变化曲线,插图:畴壁移动距离 | ds | 与 1 / α 的线性关系拟合。 (e) 净磁化强度的 x-、y- 和 z- 分量 (平均整个晶格) 随时间的变化曲线。其中 z 分量的变化是由于畴壁运动使得畴的大小变化,而 x、y 分量的变化是来自于畴壁本身的净磁矩变化。(d) 和 (e) 中,模拟结果 (点) 与解析解 (曲线) 吻合得很好。

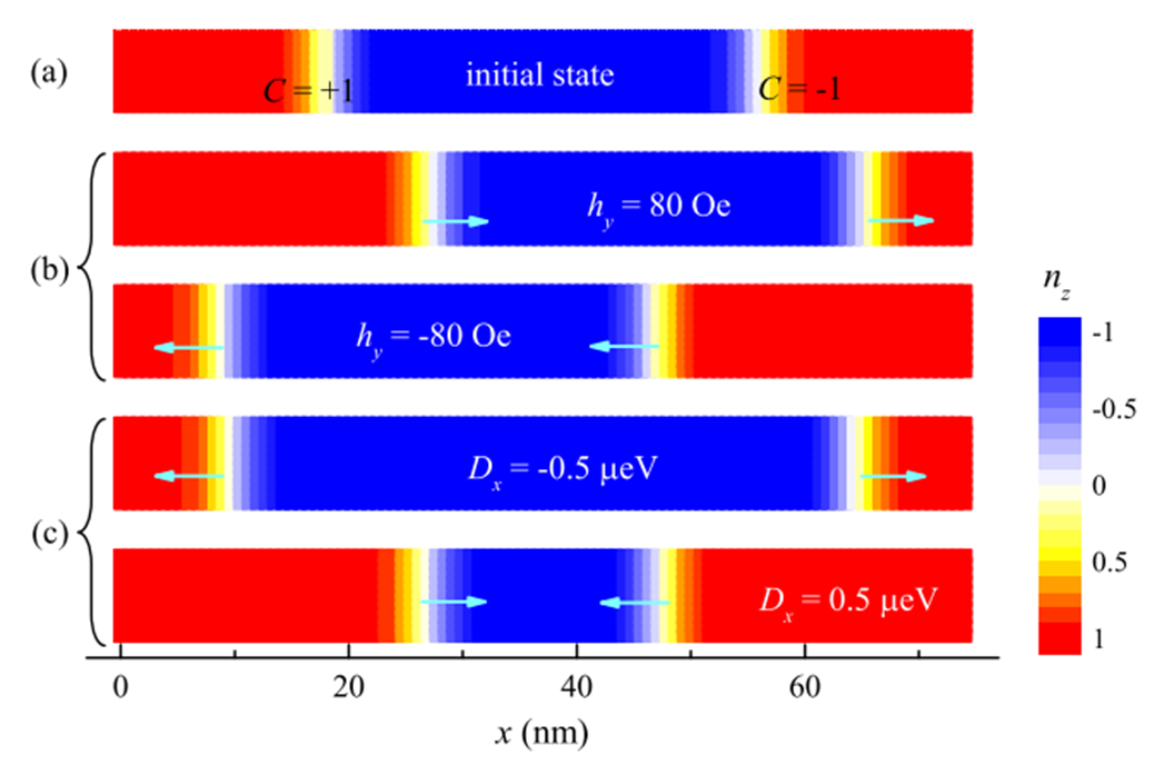
图 7. 具有相反拓扑电荷 C = ± 1 的两个相邻畴壁的 LLG 数值模拟。(a) 初始状态。(b) 沿 y 轴的均匀磁场可以使两个相邻的磁畴壁向同一方向移动。(c) 当沿 x 轴施加横向电场时,两个相邻畴壁的运动方向相反。
接下来,我们看看畴壁运动的意义。对于亚铁磁 / 铁磁系统,电控畴壁的移动同时具有微观和宏观上的意义。微观上,畴壁作为微结构其位置具有比特信息,畴壁的移动即是比特信息改变,应用上类似于 IBM 早年提出的 racetrack memory。只不过在这里,我们用的不再是电流,而是电场,自然可以显著减少能量耗散。宏观上,畴壁移动,使得畴面积重新分布,因此宏观磁矩将发生改变,甚至可以做到 180 度电控磁矩翻转。如图 7 所示,可以通过外加很弱的引导电场,来实现各种丰富的畴壁移动的调控,以满足不同的应用需求。
4. 简结
我们提出的方案,总的来说是利用磁畴壁作为对象、畴壁的手性为媒介,以电控磁畴壁移动的方式完成精细的电控磁性。虽然这亦可归类于电控磁畴效应中,或者说效果是类似的,但这里的驱动机理和动力学却与传统电控磁性不同。
这一“小”工作之下具有普适性的启示也许是:即便静态情况下,让铁电极化与宏观磁矩相濡以沫也几无可能。但对那些“质量轻”、“维度低”、“对称性低”的磁结构,如磁畴壁、磁表面、磁界面、磁 edge、磁链,等等,我们还真不好说“电控磁性”就一定很难。得益于低维和微观物理的进展,这种电控磁性也许正在喧嚣尘上、飞黄腾达之路上。谁知道呢!
这一工作的相关论文,最近以 “Manipulation of magnetic domain wall by ferroelectric switching: Dynamic magnetoelectricity at the nanoscale” 为题,发表于 Physical Review Letters 126, 117603 (2021) [https://link.aps.org/doi/10.1103/PhysRevLett.126.117603] 上。

图 8. 据说是美国前总统林肯的话,虽然物理人未必信之、却依然听之。
https://blog.kevineikenberry.com/
备注:
(1) 笔者之一董帅,任教于东南大学物理学院,主要研究领域为多铁性物理与材料设计。课题组网站:https://physics.seu.edu.cn/sdong/。
(2) 文首处的小诗为 Ising 所撰,表达物理人前赴后继之追求。
(3) 封面图片来自 R. Ramesh 实验室,谨致谢意! https://rameshlab.lbl.gov/electric-field-control-magnetism-using。
编辑:榛子さま
