升压转换器用于将较低的输入电压转换成较高的输出电压。要获得最大的“升压”,需要尽可能提高工作占空比。
升压控制器在最大连续占空比上有所限制,后者通常在较低的开关频率下达到最高。如果超过此最大占空比,则会发生脉冲跳跃,这种情况通常不希望遇到,应当避免。许多控制器的最大占空比在80%至90%的范围内,如果它们以非常低的开关频率工作,则可以增加几个百分点。低开关频率需要更大的元器件和更大的电路板面积。但是,即使工作在低开关频率下,仍然可能无法获得足够的升压。那么我们怎么办呢?
图1给出了传统升压转换器功率级的简化示意图。它的主要优点是元器件数量少,采用标准电感器,以及能够实现简单的低边升压控制器。但是,这个基本升压有个关键限制是,假设最大占空比为90%,它只能提供10:1的最大升压比。如果需要更大的升压,可以尝试使用带电荷泵倍增器的升压转换器或反激式转换器。将电荷泵添加到升压转换器,对于小输出电流很有用,但需要额外的元器件来实现。反激转换器也是种合理的解决方案。但是,还有一种更简单的解决方案,具有更少的变压器引脚、更低的匝数比和更低的漏感。
广告

图1:传统的单电感升压转换器功率级。
图2给出了自耦变压器升压转换器。它在同一磁芯上使用了两个串联绕组,作用是充当变压器但没有隔离。与反激转换器相比,将原边与副边串联可降低所需的匝数比,所需的引脚数也更少。
图2:自耦变压器升压转换器可以比传统的升压转换器提供更高的输出电压。
公式1表达了对于给定的Vin、Vout和n2/n1匝数比(忽略FET和电流检测电阻电压降),在连续导通模式(CCM)下工作的占空比:
可以看到,对于较大的n2/n1匝数比,占空比会降低。这对于提供更高的输出电压来说很有利。对该表达式求解Vout,得到公式2:
可以看到,如果n2/n1 = 0,则该表达式与传统的升压转换器相同。而对于n2/n1匝数比不为零的情况来说,Vout会增加一个附加值,它等于(n2/n1)*Vin*d/(1-d),因此可以产生更高的输出电压。
图3绘出了几种n2/n1匝数比的升压比、Vout/Vin与占空比的关系图,其中包含了零值,即传统的升压比,用于比较。在90%的占空比下,传统的升压比为10,而对于n2/n1 = 1的情况来说,升压比为19,因此可以将输出电压提高到接近两倍。可以使用标准的耦合电感器轻松实现1:1的n2/n1比,这种电感器大都很容易买到。较大的匝数比可以提供更高的输出电压。
图3:抽头电感器可降低占空比并实现更高的输出电压。
通常,根据设计规格书可以知道升压比。最大的实际占空比是由所选控制器和所需开关频率所确定。图4显示了如何轻松确定所需匝数比。例如,假设需要从10V输入获得250V输出,希望将最大占空比限制在80%,那么就可以选择250V/10V = 25的升压比,然后遵循蓝色曲线(d = 0.8),就可以得到所需的n2/n1为5。
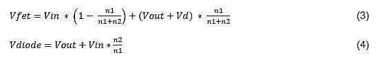
公式3给出了FET关断时的电压应力,而公式4给出了整流器的反向电压应力:
对于上面的设计示例,FET和整流器的电压应力分别为50V和300V。FET的电压应力远低于传统的升压转换器,后者FET的电压应力约为250V!由于存在漏感,因此可能需要使用电阻电容缓冲器来减少振铃。
图4:通过选择升压比和最大占空比来确定所需的匝数比。
将自耦变压器设计到CCM升压转换器中具有多个优点。只需增加一个绕组,就可以增加输出电压,而使其超过传统的升压转换器。它可以降低工作占空比,从而实现更高的开关频率、更小的元件尺寸和更低的FET电压。占空比降低还可以获得更多的控制器选择——以前在传统的升压转换器中使用这些控制器时无法获得足够高的占空比。
↓↓ 扫码,免费领取开发板 ↓↓

► 核心技术优势
1. 三相维也纳,可以实现AC/DC DC/AC双相逆变,主要用于大功率充电桩等前级应用。
2. ST新一代数字电源控制芯片STM32G474,实现纯数字控制,灵活配置。
3. 方案尺寸小,频率高达100KHz。
4. 控制芯片可以输出12路高精度PWM,频率可以配置2-3级拓扑。
► 方案规格
1. 三相三电平双向AC/DC转换。
2. AC交流电压:380±10%Vac,DC直流电压:800Vdc。
3. AC to DC模式:PF> 0.99,支持软启动,抑制浪涌电流。
4. 整机效率高达99%。
5. 主芯片采用ST新一代数字电源控制芯片STM32G474RET6,主频170MHz,Flash 512K,LQFP64
↓↓ 点击阅读原文,赠送更多开发板