雷达回波信号检测基础知识
更多精彩点
ittbank
4天前
收录于话题
雷达
回波信号有两个状态:有目标和没有目标。雷达接收的回波中,既可能有目标回波也存在
噪声
和波等各种干扰信号。所以雷达目标回波信号的检测是在噪声和
杂波
干扰背景中的二元信号最佳检测问题。
距离-方位-多普勒单元门限
雷达
在扫描的过程中,在其距离单元-方位-多普勒单元上进行每个单元的目标检测,以确定每个单元是否有目标出现。
有信号-判为有信号-判决概率记为:P(
H
1/H1)
没有信号-判为有信号-判决概率记为:P(
H
1/H0)
有信号-判为无信号-判决概率记为:P(
H
0/H1)
无信号-判为无信号-判决概率记为:P(
H
0/H0)
接收到的背景
噪声
随机起伏,
目标回波也是起伏的-随机变量
载给定距离上判决是否有目标出现,需要设置一个门限(常数或者变量)
检测性能(检测概率)取决于目标对
噪声
的强度和门限的设置
信号检测要解决的主要问题就是通过合理设置门限,实现低虚警、低漏警和高发现概率。-门限确定=判决结果
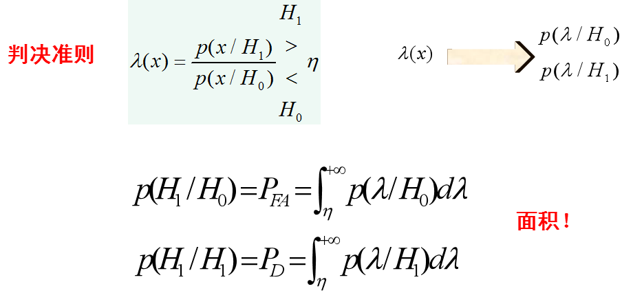
检测的下一步是要决定使用哪种准则以便从两种假设中挑选最有假设,在
雷达
领域通常使用贝叶斯准则的特殊情况,该准则被称为奈曼-皮尔逊准侧。
似然比函数-门限释然比检测门限
如果似然比函数在假设
H
0和H1下的概率密度函数分为:
Pfa=alfa 求检测门限
似然比检测科等效为将接收信号的全域R划分为两个判决子域R0和R1,当接收信号x落入R0时,则判决假设
H
0成立,当接收信号x落入R1时则判决假设H1成立。
假设判决 有目标R1-
H
1,没有目标R0-H0
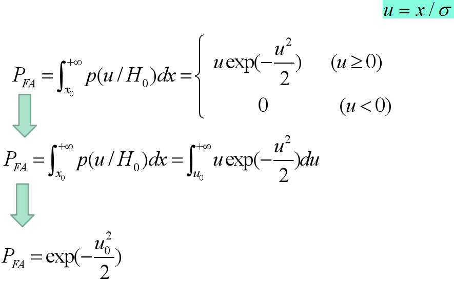
x为干扰信号幅度,sigma平方为窄带高斯干扰信号方差,大小代表干扰信号强弱,当信号检测门限为想0时,虚警概率为上式表示。
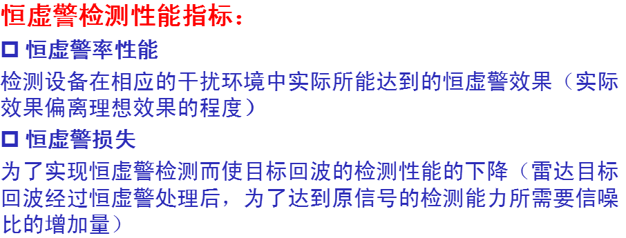
因此必须采取使虚警概率保持恒定的措施,即恒虚警处理技术,以实现
雷达
目标回波信号的恒虚警检测!
噪声
环境中信号的自动门限检测,关键是自动形成与噪声干扰环境相匹配的自动门限检测电平。噪声平均估计器和乘系数组成。
归一化后,变量u的分布于
噪声
强度没有关系,对u用固定门限检测就不会因为噪声强度改变而引起虚警概率的变化啦。
问题的关键就是求出
噪声
干扰的标准差,并进行规划处理,然后就可以固定门限检测了,这时候虚警概率取决于检测门限u0.
只要求出均值,就可以求出sigma。实现归一化啦。
噪声
平均电平估计器完成对x(n)求平均,得到噪声的电平的估计值。
只要参与求
噪声
电平估计的样本数足够多,估计值得
均方误差
就会足够小,估计值就会非常接近平均值E(x)。得到x的估值后乘以系数C,所形成的门限电平将随着
噪声
干扰强度的变化而变化,从而实现噪声环境中信号的恒虚警检测。
无论是什么的检测方法,其本质上都是进行
噪声
电平估计和乘系数c的计算。
———— / END / ————
预览时标签不可点
收录于话题
#
个
上一篇
下一篇
阅读
分享
收藏
赞
在看
已同步到看一看
写下你的想法
前往“发现”-“看一看”浏览“朋友在看”
前往看一看
看一看入口已关闭
在“设置”-“通用”-“发现页管理”打开“看一看”入口
我知道了
已发送
取消
发送到看一看
发送
雷达回波信号检测基础知识
最多200字,当前共
字
发送中