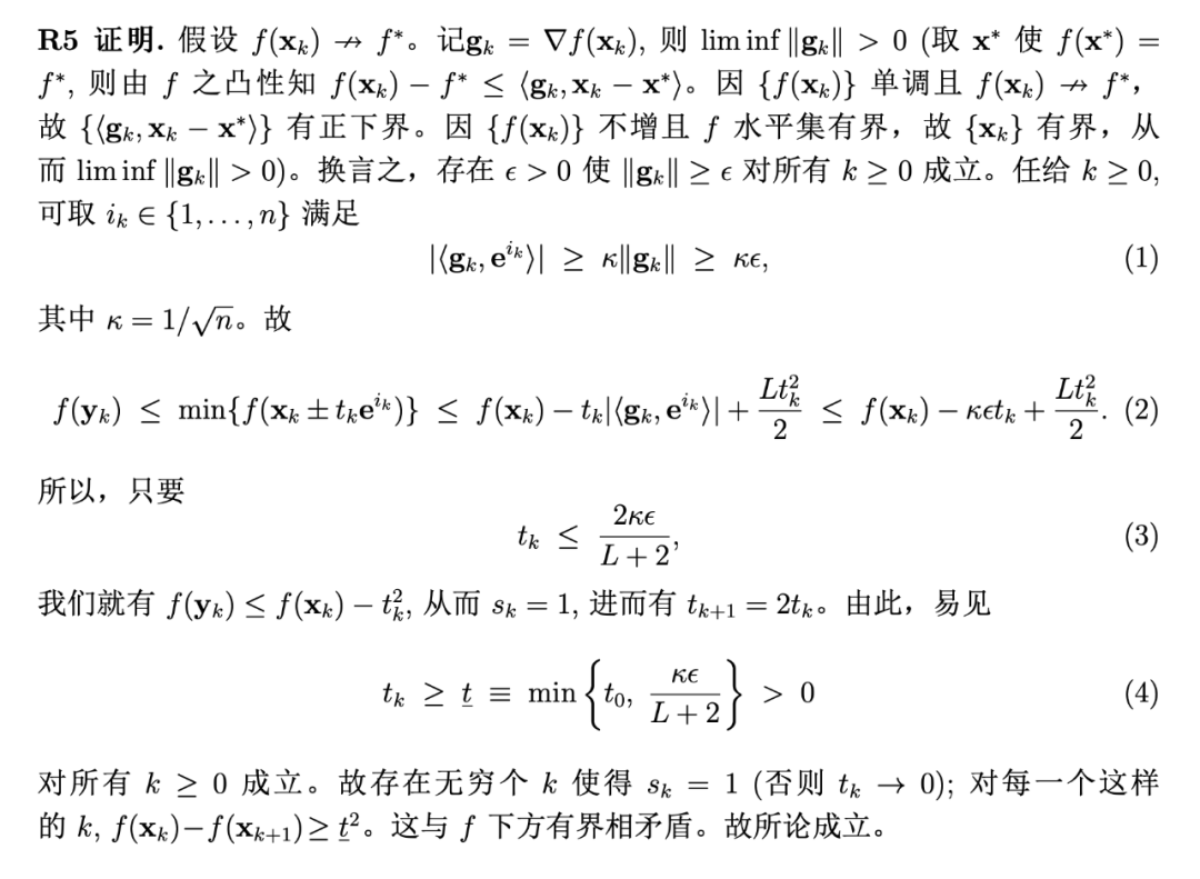
考试结束了,来做一遍真题吧,顺便对一下答案。据说第一道题,只有 2251 位参赛者选出了正确答案「C」。

一年一度,万人瞩目的阿里巴巴全球数学竞赛又拉开了帷幕。5 月 16 日 8 点,第三届阿里巴巴全球数学竞赛的预选赛正式开启。历经三天三夜,总共 5 万参赛者角逐 1% 的决赛入场券。「阿里巴巴全球数学竞赛」由阿里巴巴达摩院举办,以「发现数学之美、助力数学研究、激发数学学习热忱」为使命,不设报名门槛,面向全球的数学爱好者开放,迄今已举办了三届比赛。今年,阿里巴巴全球数学竞赛的参赛选手更加多元化,5 万名选手中既有数学专业的大学生、博士生、老师,也有警察、地铁司机、全职妈妈、中药师等,选手的年龄最小 8 岁、最大 80 岁。包括 400 位博士生、30 位小学生报名参赛,其中就有《最强大脑》选手、「天才少年」陆畅。从地理位置上看,还有来自法国、波兰、韩国、新加坡、澳大利亚、美国、尼日利亚、圭亚那等国家和地区的数学爱好者在线答题,同场竞技。
此外,这届大赛的命题组由上届的 21 人强势扩容至 33 人,来自北京大学、浙江大学、中科院数学所、耶鲁大学、普林斯顿大学、加州理工学院等高校和研究机构。本届比赛分为预选赛和决赛:预选赛共 1 轮,满分 120 分,根据分数高低确定决赛入围名单。不管是预选赛还是决赛,都允许选手查阅纸质或者离线资料,以及使用编程软件答题。预选赛时间为 2021 年 5 月 16 日 8 点 - 5 月 19 日 8 点,共 72 小时。预选赛环节结束后,赛事主办方也第一时间公布了试题内容和参考答案。共六道试题,分为 8 小题,总分为 120 分。如果你想和全球的最强大脑比试一下,可以先来看看真题。毕竟,世界上很多东西随时可能抛弃你,但数学不会,不会就是不会。
第一题和「安全距离」有关,构成为单选题(4 分)和证明过程(6 分)。结合「居民接种疫苗」的热点,提问的是留观期内的安全距离,可以说相当贴合生活实际了。
这道题目考察的是选手的级数求和知识和算法思维,单选题的正确答案是「C」。据了解,共有 2251 位选手选出了正确答案。

第二题是「多面体问题」,取自第一届阿里数学竞赛时主办方负责人收到的礼物,两道小题分别为 4 分和 6 分。
完成这道题目,不需要任何的其他背景知识,但相当考验选手的悟性,需要很强的空间想象力。

还记得去年擀宽面、扭面圈的张师傅吗?在第三题中,张师傅又出现了,今年他来到了达摩院工作,除了做面这项本职工作,他有时候也和其他同事聊聊天。最近,张师傅听说软件工程师小李遇到了一个难题:



这道题是证明题(20 分),内容与优化有关,且在题目中给出了基本概念和结论,算是比较「友好」。可能在业界有过工作经历的选手会感到很熟悉。

第四题也是证明题(25 分),主要考察矩阵和特征值知识,其中第一小问比较基础。


第五题关于「傅立叶变换」,问答题(25 分)。对于学习过大学数学的选手来说不难上手,学过复变函数和微积分的同学更易解答。当然题目本身并非基础,还是对选手的知识掌握程度及严谨性有要求。



第六题是「应用场景题」(30 分),有关软件的用户成长模型。这道题目依旧来源于生活,人人都思考过,为什么有些软件能够很快地占领用户市场?在这件事上,用户之间的推荐是非常重要的。


题目主要考察选手对不同角度的数学模型的理解。前两问需要方程和模型的训练,使用的数学工具相对基础,但解题难度很大。具备微积分知识的选手或可答出第一小问,除了一点专业知识以外,选手的数学悟性也很重要。


每一道题目,都在贯彻着主办方的目标:用基础的数学工具去解决复杂深刻的问题,也就是「看似简单,实则深刻」。卷子都交了,预选赛成绩什么时候公布?主办方暂定 2021 年 6 月 15 日公布预选赛成绩,同时也将公布决赛入围名单。此外还有大众最关心的决赛环节:6 月 26 日,第三届阿里巴巴全球数学竞赛的总决赛将在当天早上 8 点(北京时间)正式开启,当晚 24 点结束。在 16 个小时的窗口期,选手们可选择连续的 8 小时答题。决赛包含以下五个赛道,各个方向命题范围会在 5 月中下旬公布:代数与数论;
几何与拓扑;
分析与方程;
应用与计算数学;
组合与概率。
进入决赛的选手需先从以上五个赛道中选择一个主赛道以及一个副赛道。选定赛道后,才可以进入答题界面,且选定的赛道不可改变。在主赛道下,选手可以提交全部 5 道题目的解答;在副赛道下,选手仅可提交至多 2 道题目的解答。根据上一届比赛情况,5 万人报名参赛,最终 516 人入围决赛,73 人获奖。不知这届选手,表现如何?参考链接:https://damo.alibaba.com/alibaba-global-mathematics-competition全民K歌音频技术详解
5月22日9:30-12:00,腾讯音乐娱乐集团(TME)全民K歌基础架构团队负责人与三位高级算法工程师将带来4场线上主题分享,为大家揭秘「全民K歌」背后的音频技术。
主题二:轻量级歌声合成技术及应用实践
主题三:多维度歌唱评价
主题四:信号处理技术在全民K歌实践
点击阅读原文,免费报名,我们也将从所有报名的小伙伴中抽取20位,赠送全民K歌VIP月卡。
全民K歌团队的大量算法职位正在火热招聘中,欢迎大家进群咨询详情。
© THE END
转载请联系本公众号获得授权
投稿或寻求报道:content@jiqizhixin.com