牛人剖析功率MOS,很难得的资料!
EDN电子技术设计
前天
收录于话题
一、
功率
MOSFET
的正向导通等效电路
(1):等效电路
(2):说明:
功率
MOSFET
正向导通时可用一
电阻
等效,该电阻与温度有关,温度升高,该电阻变大;它还
与门
极驱动电压的大小有关,驱动电压升高,该电阻变小。详细的关系曲线可从制造商的手册中获得。
二、
功率
MOSFET
的反向导通等效电路(1)
(1):等效电路(门极不加控制)
(2):说明:
即内部
二极管
的等效电路,可用一电
压降
等效,此二极管为
MOSFET
的体
二极管
,多数情况下,因其特性很差,要避免使用。
三、
功率
MOSFET
的反向导通等效电路(2)
(1):等效电路(门极加控制)
(2):说明:
功率
MOSFET
在门级控制下的反向导通,也可用一
电阻
等效,该电阻与温度有关,温度升高,该电阻变大;它还
与门
极驱动电压的大小有关,驱动电压升高,该电阻变小。详细的关系曲线可从制造商的手册中获得。此工作状态称为MOSFET 的同步整流工作,是低压大电流输出开关
电源
中非常重要的一种工作状态。
四、
功率MOSFET
的正向截止等效电路
(1):等效电路
(2):说明:
功率
MOSFET
正向截止时可用一
电容
等效,其容量与所加的正向电压、环境温度等有关,大小可从制造商的手册中获得。
五、
功率MOSFET
的稳态特性总结
(1):
功率MOSFET
稳态时的电流/电压曲线
(2):说明:
功率
MOSFET
正向饱和导通时的稳态工作点:
当门极不加控制时,其反向导通的稳态工作点同
二极管
。
(3):稳态特性总结:
-- 门极与源极间的电压Vgs 控制
器件
的导通状态;当VgsVth时,器件处于导通状态;器件的通态
电阻
与Vgs有关,Vgs大,通态电阻小;多数器件的Vgs为 12V-15V ,额定值为+-30V;
--
器件
的漏极电流额定是用它的有效值或平均值来标称的;只要实际的漏极电流有效值没有超过其额定值,保证
散热
没问题,则
器件
就是
安全
的;
--
器件
的通态
电阻
呈正
温度系数
,故原理上很容易并联扩容,但实际并联时,还要考虑驱动的对称性和动态均流问题;
-- 目前的 Logic-Level的功率
MOSFET
,其Vgs只要 5V,便可保证漏源通态
电阻
很小;
--
器件
的同步整流工作状态已变得愈来愈广泛,原因是它的通态
电阻
非常小(目前最小的为2-4 毫欧),在低压大电流输出的DC/DC 中已是最关键的器件;
六、包含寄生参数的
功率MOSFET
等效电路
(1):等效电路
(2):说明:
实际的
功率MOSFET
可用三个结
电容
,三个沟道
电阻
,和一个内部
二极管
及一个理想
MOSFET
来等效。三个结
电容
均与结电压的大小有关,而门极的沟道
电阻
一般很小,漏极和源极的两个沟道电阻之和即为MOSFET 饱和时的通态电阻。
七、
功率MOSFET
的开通和关断过程原理
(1):开通和关断过程实验电路
(2):
MOSFET
的电压和电流
波形
:
(3):开关过程原理:
开通过程[ t0 ~ t4 ]:
-- 在 t0 前,
MOSFET
工作于截止状态,t0 时,MOSFET 被驱动开通;
-- [t0-t1]区间,
MOSFET
的GS 电压经Vgg 对Cgs充电而上升,在t1时刻,到达维持电压Vth,MOSFET 开始导电;
-- [t1-t2]区间,
MOSFET
的DS 电流增加,Millier
电容
在该区间内因DS 电容的放电而放电,对GS 电容的充电影响不大;
-- [t2-t3]区间,至t2 时刻,
MOSFET
的DS 电
压降
至与Vgs 相同的电压,Millier
电容
大大增加,外部驱动电压对Millier 电容进行充电,GS 电容的电压不变,Millier 电容上电压增加,而DS电容上的电压继续减小;
-- [t3-t4]区间,至t3 时刻,
MOSFET
的DS 电
压降
至饱和导通时的电压,Millier
电容
变小并和GS 电容一起由外部驱动电压充电,GS 电容的电压上升,至t4 时刻为止。此时GS 电容电压已达稳态,DS 电压也达最小,即稳定的通态压降。
关断过程[ t5 ~t9 ]:
-- 在 t5 前,
MOSFET
工作于导通状态, t5 时,MOSFET 被驱动关断;
-- [t5-t6]区间,
MOSFET
的Cgs 电压经驱动电路
电阻
放电而下降,在t6 时刻,MOSFET 的通态电阻微微上升,DS 电压梢稍增加,但DS 电流不变;
-- [t6-t7]区间,在t6 时刻,
MOSFET
的Millier
电容
又变得很大,故GS 电容的电压不变,放电电流流过Millier 电容,使DS 电压继续增加;
-- [t7-t8]区间,至t7 时刻,
MOSFET
的DS 电压升至与Vgs 相同的电压,Millier
电容
迅速减小,GS 电容开始继续放电,此时DS 电容上的电压迅速上升,DS 电流则迅速下降;
-- [t8-t9]区间,至t8 时刻,GS
电容
已放电至Vth,
MOSFET
完全关断;该区间内GS
电容
继续放电直至零。
八、因
二极管
反向恢复引起的
MOSFET
开关
波形
(1):实验电路
(2):因
二极管
反向恢复引起的
MOSFET
开关
波形
:
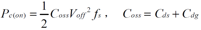
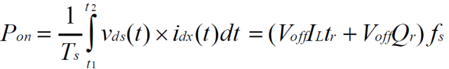
九、
功率MOSFET
的功率损耗公式
(1):导通损耗:
该公式对控制整流和同步整流均适用
该公式在体
二极管
导通时适用
(2):容性开通和感性关断损耗:
为
MOSFET
器件
与
二极管
回路中的所有分布
电感
只和。一般也可将这个损耗看成
器件
的感性关断损耗。
(3):开关损耗:
开通损耗:
考虑
二极管
反向恢复后:
关断损耗:
驱动损耗:
十、
功率MOSFET
的选择原则与步骤
(1):选择原则
(A):根据
电源
规格,合理选择
MOSFET
器件
(见下表):
(B):选择时,如工作电流较大,则在相同的
器件
额定参数下,
-- 应尽可能选择正向导通
电阻
小的
MOSFET
;
-- 应尽可能选择结
电容
小的
MOSFET
。
(2):选择步骤
(A):根据
电源
规格,计算所选变换器中
MOSFET
的稳态参数:
-- 正向阻断电压最大值;
-- 最大的正向电流有效值;
(B):从
器件
商的DATASHEET 中选择合适的
MOSFET
,可多选一些以便实验时比较;
(C):从所选的
MOSFET
的其它参数,如正向通态
电阻
,结
电容
等等,估算其工作时的最大损耗,与其它元
器件
的损耗一起,估算变换器的效率;
(D):由实验选择最终的
MOSFET
器件
。
十一、理想开关的基本要求
(1):符号
(2):要求
(A):稳态要求:
合上 K 后
-- 开关两端的电压为零;
-- 开关中的电流有外部电路决定;
-- 开关电流的方向可正可负;
-- 开关电流的容量无限。
断开 K 后
-- 开关两端承受的电压可正可负;
-- 开关中的电流为零;
-- 开关两端的电压有外部电路决定;
-- 开关两端承受的电压容量无限。
(B):动态要求:
K 的开通
-- 控制开通的信号功率为零;
-- 开通过程的时间为零。
K 的关断
-- 控制关断的信号功率为零;
-- 关断过程的时间为零。
(3):
波形
其中:
H
:控制高电平;L:控制低电平
-- Ion 可正可负,其值有外部电路定;
-- Voff 可正可负,其值有外部电路定。
十二、用电子开关实现理想开关的限制
(1):电子开关的电压和电流方向有限制:
(2):电子开关的稳态开关特性有限制:
-- 导通时有电
压降
;(正向压降,通态
电阻
等)
-- 截止时有
漏电
流;
-- 最大的通态电流有限制;
-- 最大的阻断电压有限制;
-- 控制信号有功率要求,等等。
(3):电子开关的动态开关特性有限制:
-- 开通有一个过程,其长短与控制信号及
器件
内部结构有关;
-- 关断有一个过程,其长短与控制信号及
器件
内部结构有关;
-- 最高开关频率有限制。
目前作为开关的电子
器件
非常多。在开关
电源
中,用得最多的是
二极管
、
MOSFET
、
IGBT
等,以及它们的组合。
十三、电子开关的四种结构
(1):单象限开关
(2):电流双向(双象限)开关
(3):电压双向(双象限)开关
(4):四单象限开关
十四、开关
器件
的分类
(1):按制作
材料
分类:
-- (Si)
功率
器件
;
-- (Ga)
功率
器件
;
-- (
GaAs
)
功率
器件
;
-- (SiC)
功率器件
;
-- (
GaN
)
功率器件
;--- 下一代
-- (
Diamond
)
功率器件
;--- 再下一代
(2):按是否可控分类:
-- 完全不控
器件
:如
二极管
器件
;
-- 可控制开通,但不能控制关断:如普通
可控
硅
器件
;
-- 全控开关
器件
-- 电压型控制
器件
:如
MOSFET
,
IGBT
,IGT/COMFET ,SIT 等;
-- 电流型控制期间:如GTR,GTO 等
(3):按工作频率分类:
--
低频
功率器件
:如
可控
硅
,普通
二极管
等;
--
中频
功率器件
:如GTR,
IGBT
,IGT/COMFET;
-- 高频
功率器件
:如
MOSFET
,快恢复
二极管
,萧特基二极管,SIT 等
(4):按额定可实现的最大容量分类:
-- 小
功率器件
:如
MOSFET
-- 中
功率器件
:如
IGBT
-- 大
功率器件
:如GTO
(5):按导电载波的粒子分类:
-- 多子
器件
:如
MOSFET
,萧特基,SIT,
JFET
等
-- 少子
器件
:如
IGBT
,GTR,GTO,快恢复,等
十五、不同开关
器件
的比较
(1):几种可关断
器件
的功率处理能力比较
(2):几种可关断
器件
的工作特性比较
上面的数据会随
器件
的发展而不断变化,仅供参考。
-END-
预览时标签不可点
收录于话题
#
个
上一篇
下一篇
阅读原文
阅读
分享
收藏
赞
在看
已同步到看一看
写下你的想法
前往“发现”-“看一看”浏览“朋友在看”
前往看一看
看一看入口已关闭
在“设置”-“通用”-“发现页管理”打开“看一看”入口
我知道了
已发送
取消
发送到看一看
发送
牛人剖析功率MOS,很难得的资料!
最多200字,当前共
字
发送中