
文章摘要
本文选自电工技术学报2021年1月版第36卷第2期《电压探头对宽禁带器件高频暂态电压精确测量的影响》一文,经原作者同意后,借此平台分享给大家学习参考。
上期为大家介绍了示波器电压探头种类及其主要性能指标(点击链接即可回顾)。本期为第二期,继续为大家介绍典型示波器电压探头电路原理。👇
典型示波器电压探头电路原理
2.1
高阻无源探头
无源探头具有价格便宜、机械结构坚固、动态范围宽、输入电阻高等优势,因此广泛应用于通用测试场合。常用的无源探头为10倍衰减的高阻无源探头,主要包括探头前端、有损传输线和补偿器,其典型电路模型如图2所示。

图2. 10倍衰减的高阻无源探头典型电路模型
探头前端用以连接探测点,其中信号端提供高阻值电阻Rt 以减小负载效应,并存在寄生电容Ct中;地线端一般为拖尾的鳄鱼夹,具有寄生电感Lg。
传输线用以提供测量距离,长度一般为1~2m。传输线可等效为RLGC等分布参数的集总元件模型,当其终端阻抗不匹配时,将使高频信号产生谐振,为较好地抑制该谐振问题,可将传输线设计为有损类型的,即含有一定的分布电阻。
补偿器用以匹配探头和示波器的阻抗,图2中以RC串联网络来表示。根据补偿衰减器理论,为维持信号在较大频域内线性衰减,可调节可变电容Cc,使输入网络和输出网络的时间常数相等,即
RtCt=Rs(Clt+Cc+Cs)
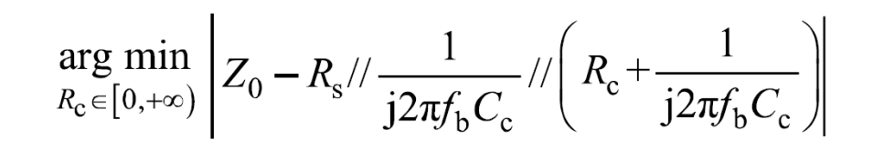
式中,Clt为有损传输线的总电容。根据传输线工作原理,为改善探头的高频增益,可调节可变电阻Rc,使负载阻抗逼近于传输线特征阻抗,即

式中,Z0为传输线特征阻抗;fb为探头带宽。
2.2
有源单端探头
有源单端探头前端配有场效应晶体管,这使其具有非常小的输入电容,但同时导致其线性动态输入范围很小。此外,有源单端探头价格昂贵、机械结构脆弱,这些因素限制了其应用范围。图3给出一种10倍衰减的有源单端探头电路模型,该模型主要包括衰减器、缓冲器和无损传输线。

图3. 10倍衰减的有源单端探头电路模型
信号先通过衰减器进行5倍衰减,再通过缓冲器进行电压跟随,最后由无损传输线传输到示波器。其中,缓冲器具有高输入阻抗和强输出驱动能力,隔离了衰减器和无损传输线,这一方面便于其输入端和输出端进行阻抗匹配,提高信号传输能力;另一方面可以使衰减器尽可能地靠近测试点,以减小不可控的寄生参数。无损传输线的特征阻抗一般为50Ω,R3与Rs分别对其源端和负载端进行阻抗匹配,以提升信号传输的保真度,同时对缓冲器输出端信号产生2倍衰减。
2.3
有源高压差分探头
有源差分探头主要用于测量差分信号,可分为低压型和高压型,通常选择通用性更好的高压差分探头来测量开关电源信号。图4为一种经典的有源高压差分探头电路模型,该模型主要包括衰减器、缓冲器、差分放大器和无损传输线,图中,Lp+与Lp-分别为两信号端的寄生电感。

图4. 有源高压差分探头电路模型
首先差分信号依次通过两个理论上相同的衰减器和缓冲器实现高倍衰减和电压跟随;然后通过差分放大器转换为单端对地信号;最后由无损传输线传输到示波器。共模抑制比是差分探头的一个重要指标,有源差分探头的共模增益主要有两种来源;①两差分信号传输途径的电阻、电容、缓冲器和寄生参数的不完全对称;②差分放大器固有的共模增益。
2.4
光隔离探头
光隔离探头同样用于测量差分信号,其原理框图如图5所示,该探头主要包括衰减器、电-光-电转换网络、无损传输线和示波器接头。电-光-电转换网络作为光隔离探头的核心,通过电-光转换器、光纤、光-电转换器和控制器实现了被测设备与示波器的电气隔离,缩短了差分信号的传输路径,这很大程度上提高了探头的共模抑制比,使得光隔离探头能测量具有高带宽和高共模电压的差分信号。

图5. 光隔离探头的原理框图
|下期预告|
下期为大家带来电压探头关键因素对高频暂态电压测量精度的影响分析,包括仿真电路、带宽与上升时间、寄生电感及共模抑制比。
点击阅读原文,了解更多探头种类!
欲知更多产品和应用详情,您还可以通过如下方式联系我们:
邮箱:china.mktg@tektronix.com
网址:www.tek.com.cn
电话:400-820-5835(周一至周五9:00-17:00)

将您的灵感变为现实
我们提供专业的测量洞见信息,旨在帮助您提高绩效以及将各种可能性转化为现实。
泰克设计和制造能够帮助您测试和测量各种解决方案,从而突破复杂性的层层壁垒,加快您的全局创新步伐。我们携手共进,一定能够帮助各级工程师更方便、更快速、更准确地创造和实现技术进步。


点击“阅读原文”了解更多探头种类!