先来问大家一个小问题:现在有四个城市,如果我们要建起一个或多个驿站,并在驿站和城市间修建道路将他们全部连接起来,且使得道路总长尽可能地小,那么我们该如何选择驿站的位置呢?
对于一个特殊的情况,四个城市在一个正方形的四角,相信很多小伙伴都会凭直觉认为驿站建在正中心是最优解。因为用三角形三边关系我们知道,这个驿站的任何移动都会增加道路的总长度。

三角形三边关系
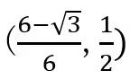
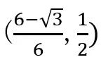
不过如果我们有两个驿站呢?大家可以试一试在(0,0)、(0,1)、(1,0)、(1,1)四点组成的正方形中,如果在
和
两处建起驿站,是不是会比在中心处
建起驿站需要的道路总长要短一些呢?

最优解示意图
而如果问题不是正方形而是任意四边形,或者如果有更多的城市,似乎就较难发现最优解了。其实对于这一类问题,不借助数学的手段,还有让大自然替我们解答的方法
实验器材
所标杯、塑料片、烧杯、图钉、泡泡水、双面胶、剪刀

首先将泡泡水倒入烧杯中

用图钉将塑料片串起来
两个塑料片间保持一定的距离

将连接好的塑料片完全浸入烧杯中
然后再取出

发现塑料片上出现了最短路径

PS. 如果大家手边没有很硬的塑料片
可以将两个塑料片用双面胶粘起来增加硬度

也会出现想要的效果哦

形成的肥皂膜的表面自由能与表面张力系数和表面积有关,表面积越大自由能越大。而体系总是寻求自由能的最小值,因此会将表面积尽可能地缩小。
而在我们的实验中,由于塑料片之间的宽度基本一致,所以为了达到最小的表面积,就需要肥皂膜在塑料片上的投影的总长度最小,而这正是我们之前看到的驿站问题所需要的。
所以有了这个方法,对于这类驿站问题,只要我们将城市的相对位置用牙签或是其他的柱类物体复刻出来,就可以让肥皂水替我们解答这个问题啦~

这次实验演示我们只展现了比较简单的四边形情况,大家可以动手试一试其他的情况~



















投票将于9月2日零点截止
投稿方式

投稿时间截止到每周五晚十点。48小时没有和我们互动的用户,我们无法给您发送消息。为了防止联系不到获奖用户的现象发生,请投票最高获奖后及时联系我们。
往期回顾
编辑:荔枝
近期热门文章Top10
9. 笛卡尔,不行!黎曼,行!
