认真阅读下面的文章,并思考文末互动提出的问题,严格按照 互动:你的答案 格式在评论区留言,就有机会获得由后浪出版公司提供的优质科普书籍《光年之外:宇宙观测第一课》一本。
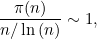
质数是那些只能被自身和1整除的整数,比如前七个质数是2,3,5,7,11,13,17。











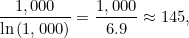
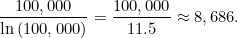
(1)

(2)

作者:Marianne
翻译:C&C
审校:zhenni
原文链接:
https://plus.maths.org/content/maths-minute-prime-number-theorem
fu
li
shi
jian

为什么我们想把人所未见的天文学展示出来?因为,天文学毕竟是一门让人读不尽、看不完的科学啊!将重点放在宇宙的奇异现象上,可能与我们的雄心不无关系。这里是液态的淡盐水,从火星峡谷的山坡上倾泻而下。那里是一颗小卫星,仅仅凭借它上面火山的力量就点亮了巨大的极光。你想寻找惊奇的感觉吗?那就去看看我们的星系年轻时是什么样子吧。你想让自己感到战栗吗?当你发现我们的星系将会被一个更大的星系撞得灰飞烟灭的时候,就能体会到了。你觉得自己无所不知吗?那就请试着准确无误地回答出这本书里提出的所有问题吧 ! 本书不失为一本直观的指南,尽管这不是写作本书的主要目的。在这本书里,你可以读到天体坐标如何在变幻莫测的天空里重叠,或者通过一张大图表把“食”这一天文现象了解得一清二楚;你还可以沉浸在黄昏的原理和月亮相位的变化中,阅读体验几乎和在现实世界中观察到的一样;最后,从朱诺号探测器捕捉的木星雷暴底片,到位于火星风暴中的好奇号探测器的自拍照,你一定会对这些珍贵的影像资料感到痴迷。本书从宇宙中的天体和天文现象、如何选择观测仪器、如何进行初次天文观测等方面着手,分七章为读者呈现了一个异彩纷呈的宇宙。每一章都详细介绍了不同观测仪器的调试和各种天体的特点。除此之外,本书还介绍了天文摄影的相关知识和活动。试着回答书中的有趣问题吧!
【互动问题:你还知道什么有趣的近似?】
请大家严格按照 互动:问题答案 的格式在评论区留言参与互动,格式不符合要求者无效。
截止到本周四中午12:00,参与互动的留言中点赞数排名第二、五、六的朋友将获得我们送出的图书一本(点赞数相同的留言记为并列,下一名次序加一,如并列第二之后的读者记为第三名,以此类推)。
为了保证更多的朋友能够参与获奖,过往四期内获过奖的朋友不能再获得奖品,名次会依次顺延
*本活动仅限于微信平台
编辑:zhenni
近期热门文章Top10
