本文介绍什么是毫米波 (mmWaves)技术?包括其频率、传播特性。与其他低频技术相比有何特点?顾名思义,毫米波是波长 (λ) 约为 1 毫米(更准确地说是 1 至 10 毫米)的电磁波。使用公式f = c /λ将该波长转换为频率,其中c是光速 (3 x 10 8 m/s),得出的频率范围为 30-300 GHz。毫米波频段被国际电信联盟 (ITU) 指定为“极高频”(EHF) 频段。术语“毫米波”也经常缩写为“mmWave”。图 1 包括利用毫米波频谱的应用示例,还展示了毫米波频谱相对于其他电磁频段的位置。
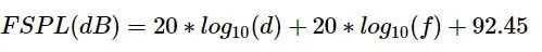
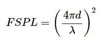
图 1.毫米波频谱概览。图片由ADI 公司提供现在我们已经有了基本的定义,让我们来谈谈毫米波信号是如何传播的。 毫米波射频 (RF) 通信的一个限制是两个天线之间直接视距通信的自由空间路径损耗 (FSPL)。FSPL 与波长的平方成反比,由以下等式给出: d是两个天线之间的距离,单位为 m
λ是波长,单位为m
从这个公式可以看出,波长减少 10 倍会导致自由空间路径损耗增加 100 倍。因此,毫米波长处的衰减比更传统的通信频率(如 FM 无线电或 Wi-Fi)的衰减高许多数量级。在射频通信计算中,这个损耗方程通常被转换为以 dB 为单位的结果,频率以 GHz 为单位,距离以公里为单位。经过这种转换,等式变为: https://www.allaboutcircuits.com/tools/free-space-path-loss-calculator/毫米波传输的另一个缺点是大气衰减。在此波长范围内,大气气体(主要是氧气 (O2) 和水蒸气 (H2O) 分子)的存在会导致额外衰减。从图 2 中可以看出,某些频段的大气衰减可能非常严重。 例如,5 mm (60 GHz) 处的氧峰值。雨水会增加整个频谱的衰减。
更长的波长通常依赖于直接(镜面)反射功率来帮助绕过障碍物(想想镜子般的反射)。然而,许多表面对毫米波来说显得“粗糙”,这会导致漫反射,将能量发送到许多不同的方向。这可以在图 3 中看到。 因此,到达接收天线的反射能量可能会更少。因此,毫米波的传输非常容易受到障碍物的影响,通常仅限于视线范围内的传输。由于波长较短,毫米波不能深入或穿透大多数材料。例如,一项对常见建筑材料的研究发现,衰减范围约为 1 至 6 dB/cm,70 GHz 下穿过砖墙的穿透损耗可能是 1 GHz 下的五倍。在户外,树叶也会阻挡大多数毫米波。因此,大多数毫米波通信仅限于视距操作。 对于许多应用,毫米波信号的自由空间路径损耗、大气衰减、漫反射和有限的穿透是有害的。然而,事实证明,这些特性也可以在某些应用中作为优点加以利用。毫米波的优点包括:宽带宽
高数据速率
低延迟
小天线
范围有限
有限的反射
有限的渗透
接下来解释这些优点中的每一个以及它们如何在某些应用中被利用。 对于通信应用,宽带宽意味着更高的峰值数据速率。这可能意味着能够以给定的数据速率处理更多的同时通信通道,或者在单次通信中发送更多数据。低频频谱被大量使用,因此不能提供这些理想的宽带宽。 例如,3GPP 的 5G NR规范分配的最大信道带宽在 6 GHz 以下仅为 100 MHz,而在 24 GHz 以上的频段中则高达 400 MHz。随着这些 5G 规范的不断发展,一些团体正在游说在毫米波频谱中进行更广泛的带宽分配。 正是由于这些宽带宽和高数据速率,毫米波长期以来一直用于 27.5 GHz 和 31 GHz 的卫星通信。包括碳化硅 (SiC) 和氮化镓 (GaN) 在内的高频电路技术的进步以及相关的较低制造成本正在将毫米波通信带入地面上、掩模市场消费类应用,例如 5G NR。 通信网络中的延迟有多种含义。对于单向通信,延迟是从源发送数据包到目的地接收相同数据包的时间。毫米波的更高频率意味着可以在更短的时间内传输更多数据。因此,对于固定的数据包大小,高频系统将比低频系统具有更低的延迟。 低延迟对于许多对时间敏感的应用很重要,包括工业自动化、无线增强或虚拟现实和自动驾驶系统。毫米波的宽带宽可实现更短的传输时间间隔和更低的无线电波接口延迟,以促进对低延迟敏感应用的引入和支持。 毫米波最重要的优势之一是较小的天线,并且能够在阵列中使用大量这些较小的天线元件来实现波束成形。例如,汽车雷达正在从 24 GHz 过渡到 77 GHz。波长小了三倍以上,因此天线阵列面积可以小九倍以上,如图 4 所示。
图 4. 24 GHz 和 77 GHz 的相对天线阵列尺寸非常小的天线元件的大型阵列也将用于毫米波通信系统,如 5G。波束成形可以将辐射功率集中到个人用户,以获得更高质量的信号和更远距离的通信。使用自适应波束成形,波束甚至可以作为用户数量及其相对于发射天线的位置的函数而动态改变。
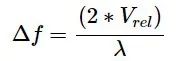
有限的范围、漫反射和有限的穿透深度实际上可以为电信带来好处。正在利用这些特性来允许许多小小区彼此非常靠近而不受干扰。这提供了频谱的空间重用,因此允许在一个区域中支持更多的高带宽消费者。 在雷达应用中,毫米波信号的更高频率和更大带宽支持更准确的距离测量、更准确的速度测量以及分辨两个相距很近的物体的能力。 多年来,航空航天雷达是毫米波技术的主要应用。宽带宽非常适合确定与物体的距离、分辨距离较近的两个远距离物体以及测量与目标的相对速度。 例如,假设两个物体直接相互靠近或远离,在最基本的形式中,多普勒频移 (Δf) 由下式给出: 由于波长越短(如毫米波),频移越大,因此更容易测量产生的频移。使用更小的多单元天线和自适应波束成形的能力也使毫米波成为雷达应用的理想选择。出于同样的原因,了四月毫米波雷达适用于航空航天应用,它也被广泛用于自动车辆应用,包括紧急制动、自适应巡航控制 (ACC) 和盲点检测(如图 5 所示)。 快速准确地测量距离和相对速度的能力对于自动驾驶汽车的运行显然很重要。 由于宽带、低延迟、小天线和多天线阵列波束成形,卫星系统长期以来一直使用毫米波进行通信。这些相同的特性正在推动许多地面电信网络采用毫米波。 例如,由于带宽增加,毫米波可以支持超高清(UHD)视频的无线传输。此外,较小的天线支持集成到智能手机、数字机顶盒、游戏机等设备中。将采用毫米波的新兴行业标准包括5G和可达到Gb/s数据速率的IEEE 802.11ad WiGig。特别是在室内和城市环境中,毫米波的空间重用和自适应波束成形将能够向大量用户提供高带宽通信,如图 6 所示。 大规模 MIMO(多输入多输出)系统将实现空间分集、空间复用和波束成形,从而在使用更低功率的同时为更多用户提供更好的功能。 毫米波也用于人体安全扫描仪。数以千计的发射和接收天线协同工作用于高精度扫描,如图 7 所示。 这些系统以 70 GHz 至 80 GHz 的频率范围进行传输,并且仅发射大约 1 mW 的功率。毫米波穿过大多数衣服并从皮肤和其他表面反射回接收天线。接收到的信号可用于创建个人的详细图像并揭示隐藏在衣服下的物品。毫米波的低功率和有限的穿透深度提供了更高的安全性。 毫米波长期以来一直用于雷达应用,并且越来越多地应用于新领域,其中最突出的是高数据速率电信。短波长和独特的传播特性为在这些领域工作的设计工程师提供了挑战和机遇。
在创芯人才网(www.icjob.top)试运营初期我们为广大有招聘需求的企业提供免费的发布职位、查阅简历等服务,也为原厂招聘方将招聘信息免费推荐到EETOP的各大公众号(EETOP、创芯大讲堂、创芯人才网)中。
欢迎大家免费体验EETOP创芯人才网的人才服务!同时也欢迎广大求职者积极投递简历,为自己的职业发展保驾护航!创芯人才网目前提供:
1. 网页版访问:https://www.icjob.top 包括PC端和手机端


扫描二维码访问创芯人才网