
在电子类专业中,模拟电路是一门非常重要,并且不少人觉得很难的一门课。这里说一说对模拟电路这门课的理解,希望能对大家有所帮助。
1.工程思想
说到对模拟电路的理解和应用,倒是用模拟电路做过一些东西,也参加过一些竞赛。模拟电路是一门工程性质的课程,学习它的重点在于掌握其中的工程思想,同时最好能用于实践,而不只是为了做题考试。
何为工程思想呢?百度百科的解释是这样的:
工程是科学和数学的某种应用,通过这一应用,使自然界的物质和能源的特性能够通过各种结构、机器、产品、系统和过程,是以最短的时间和精而少的人力做出高效、可靠且对人类有用的东西。于是工程的概念就产生了,并且它逐渐发展为一门独立的学科和技艺。
例如在模拟电路中,有个非常重要的工程思想——近似。中学物理课上,我们学的很多电路都是理想电路,导线电阻始终为0,变压器的效率是100%,理想电压表内阻无穷大,理想电流表内阻为0等。你可以发现,很多时候模拟电路中的计算会常常省略掉一两个比较小的项,而且直接用等号而不是约等号。
为什么要用近似呢?说白了就是人类科学对自然的理解还不够全面,无法绝对精确的描述自然现象;或者是人的理解力有限,精确描述代价太大。通过近似的手段,不仅对解决问题没有明显的影响,而且大大简化了步骤,节约了时间和精力。运用这种思想,人类科学取得了很多成果,也充分证明了其可靠性。
2.概要
模电本身是一个非常复杂的学科,而模电课程只是其中最基础的东西。模拟电路(Analog Circuit)的含义是处理模拟信号的电子电路。自然界中绝大多数信号都是模拟信号,它们有连续的幅度值,比如说话时的声音信号。模拟电路可以对这样的信号直接处理(当然需要先转换成电信号),比如功放能放大声音信号,广播电台能将模拟的声音信号、图像信号进行发送。甚至可以认为,所有电路的基础都是模拟电路(即使是数字电路,其底层原理也是基于模拟电路的)。其重要性不言而喻。
由于数字电路、可编程器件的迅速发展,体现了很多优越特性。很多电子设备都慢慢数字化,但始终还是离不开模拟电路。
目前模拟电路中最重要的器件,则非半导体器件莫属。最基本和常用的半导体器件有二极管、三极管、场效应管和运算放大器。
二极管的作用很多,如普通二极管可用于整流,发光二极管可用于指示灯和照明,稳压管可进行稳压,变容二极管可用来进行信号调制等。模电课程中,涉及到二极管的部分相对比较简单,而场效应管的很多特性类似三极管,所以常以三极管或运放为主体进行讲解。
3.三极管与放大器
三极管的基本功能是放大,通过这一特性,三极管构成各种电路,体现出了很多工程思想。
三极管基本电路就是放大器,例如功放就是一个放大器,输入的声音很小,输出的声音却很大。放大器的输出和输入电压(或电流)之比称为放大倍数,又叫做增益。
对于一个电压来说,如果以时间为横轴、电压为纵轴作图,这个图形则为这个电压的波形。
如果一个放大倍数为5的放大器,输入恒定的1V电压(波形如下左图),则输出应该始终是5V(波形如下中图),既不会随时间改变,也不会随温度而变化,输出和输入的电压形状完全一样。但如果放大倍数不稳定,不断变化,原先输入的信号就会变形(如下右图),信号可能由一条水平直线变成了一条曲线。这种波形变化叫做失真。

一个理想的放大器,希望其放大倍数是恒定值。如果功放的放大倍数不稳定,声音就会忽大忽小,波形变化还会导致声音发生变化,即失真。
现实总是和理想相违背。很不幸,三极管的特性并不理想,它在放大电路中工作时,放大倍数不仅受输入电压、电源电压影响,而且自身发热导致温度变化,也会影响它的放大倍数。这实在是让很多工程师头疼,如果不能找到有效的方法,减少这一特性带来的影响,三极管很难应用到实际中来。
4.负反馈
基本概念
于是一些非常厉害的人找到了好方法:负反馈。什么是负反馈呢?
反馈是指将系统的输出又返回到输入端而影响输入,从而对系统整体输出产生作用。反馈可分为正反馈和负反馈。负反馈是使输出起到与输入相反的作用,使系统输出趋于稳定。
上面的解释不好理解,我举两个例子。
1.玩倒立摆时,我们用手支撑起一个倒立的木棍,当木棍往某个方向倾斜时,我们通过将手移动到木棍倾斜的方向来抵消这种变化,使得木棍能在手上平衡。
2.高中的时候经常月考,我发现有些同学有这样的习惯:当一次成绩考得比较差的时候,就会开始好好学习,然后下次成绩就上涨;而考得比较好时,接下来的一个月又会松懈,于是成绩又会降下来,如此周而复始。
这两个例子都充分说明,负反馈可以让系统更稳定。
负反馈放大器
我们忽略具体电路,只画一个简单的框图,来说明三极管放大电路是如何利用负反馈的。
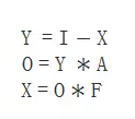
下面三角形表示一个三极管构成的放大器,放大倍数为 A,输入为 I ,则输出 O=A*I ,由于放大倍数A不稳定,所以输出波形会有失真。

在电路中添加了一些器件如下。
紫色的圆形是相加器,结合紫色的“+”、“-”符号,表示其输出 Y=(+I)+(-X)=I-X ,在实际电路中用电阻就可以实现;
方框F是反馈器件,表示从输出O取出信号,并将其与F相乘,得到 X ,所以 X=0*F ,这里 F<1 (这个部分在实际电路中可以用电阻实现);
三角形表示的放大器A,主要用三极管构成,满足 O=A*Y ,且A的放大倍数不稳定,很容易受干扰。

可以列出方程组:


如果设计电路让放大倍数A非常大,同时F不至于很小,则

符号">>"表示远大于
根据近似的思想,上述整个电路放大倍数:

由于反馈器件可由电阻实现,普通电阻的阻值不容易受外界干扰,因此F的值很稳定,于是整个电路的放大倍数就很稳定。我们成功的通过负反馈解决了三极管的放大倍数稳定性问题。

于是 A>>1/F
即开环增益远大于闭环增益,也就是放大器增益大大降低。但总的来说,为了稳定性,这样做是值得的。
5.运算放大器
在上面的电路中,为了实际制造出开环增益A很大的放大器,往往要用多级三极管放大电路串联的方式设计。由于这种高增益放大器的需求很常见,于是历史上有人就把它们做成一个成品电路板模块,要用的时候直接当成一个元件用就行了,非常方便。这就是最初的运算放大器,简称运放。
集成电路的发展,使得大量晶体管元器件集成在一个小芯片上成为可能,于是就有了今天十分常用的集成运算放大器。
“运算放大器”由于最初用于模拟计算机上进行数学运算而得名。尽管现在广泛使用的数字计算机不再用运放进行计算操作,但名称还是保留了下来。而今天,运放在模拟电路中发挥着十分重要的作用,也成为模电课程的重点之一。
6.运放的虚短虚断特性
通常运放有两个输入端U+和U−,一个输出端Uo,它们之间满足。

运放开环增益A常常高达几十万~几百万,但运放的输出电压受电源电压限制,不能超出电源电压。于是运放的输入-输出关系类似下图形状。
图中横轴是
纵轴是U。

在中间那一段直线区域,运放在正常放大状态,称为线性区,满足Uo=A∗(U+−U−)
而当输入的绝对值稍大一点时,输出就会受到电源限制,不再满足上述关系式,Uo的值通常比电源电压范围略小(注意运放可以用双电源,即电源电压范围可以在一个负值和一个正值之间),称为非线性区。
轨对轨运放的输出可以达到电源电压,有兴趣可以自行在网上搜索学习。
当运放工作在线性区时,Uo的值很有限,但是A很大,所以U+−U−=UoA≈0
即U+≈U−
此时运放正负输入端电压几乎相等,就像短路了一样,称为虚短。所以只有当运放工作在放大区才会有“虚短”的特点,而非运放自身固有属性。
另一方面,由于运放内部结构特性,其输入阻抗很大。
输入阻抗可以简单理解为 输入阻抗 = 输入端电压 / 输入端电流,输入阻抗大,意味着运放输入端只需很小的电流就能正常工作。正因为如此,运放才能用于一些微弱电流的检测,比如人体的脑电波、肌电波,其最高电压值只有几mV,电流值也非常小。
运放这一特性被称为虚断,也就是输入端和断路一样,几乎没有电流流入。
与虚短不同,虚断是运放自身固有属性,不会随着电路的不同而改变。
7.运放的非理想特性
运放由三极管构成,显然和三极管一样,也会有很多不理想的特性。前面讲的都是理想运放的特点。而实际运放,它不会完全满足虚短虚断特性,正常工作时输入端需要电流流入,这个电流便被称作输入偏置电流。同样运放还有输入偏置电压、输入失调电压、输入失调电流等非理想参数。
这些非理想特性,比如输入偏置电流虽然很小,但有时候却会对电路造成很大影响,导致电路无法工作。因此则需要通过一些手段减小这些因素造成的影响。在实际应用中,运放的非理想特性是一个非常重要的问题。运放非理想特性的消除有很多方法,这里不做介绍。
8.其他内容
模电课程的核心就是三极管和运放。围绕这些器件,讲解多种电路,包括:
●放大电路的计算分析、多级放大电路、放大器的频率特性、反馈的思想;
●功率放大电路;
●比较器、振荡器、积分器、微分器、波形发生等;
●信号运算处理;
●滤波器;
●集成稳压电源电路等。
9.运放和三极管的比较
在实际设计电路时,运放比三极管用的相对会多一些。因为运放的很多特性比三极管要优秀,电路设计简单,而且往往运放的成本并不高。很多时候用三极管和运放实现同样的效果,使用运放的成本反而更低。因为运放是将大量晶体管集成在一块的,平均每个晶体管的制造成本非常低。
例如一个常规音频前级放大器,一个通用运放就能搞定,成本可能是0.2元,而用三极管实现同样的效果,可能需要10个甚至更多三极管,成本或许要0.5元,并且设计时所花费的人力成本远比运放方案高。
当然三极管也有其优势。在一些非常简单的电路中,并不严格要求放大倍数的稳定性,一两个三极管就能完成任务,往往会用三极管以节省成本。另外在一些比较极端的条件下,比如工作在高频率、大功率的环境下(例如射频信号发射电路),设计良好的三极管电路的性能会比运放效果好很多,或者成本低很多,甚至有些情况下只有直接使用晶体管才能完成,这时就需要使用三极管来搭建电路了。
本公众号高薪签约长期专栏作者,欢迎具备优秀写作能力的科技从业或爱好者,联系传感器小编:YG18511751369(微信号)
期待下一篇10W+出自您的笔下!
免责声明:本文版权归原作者所有。本文所用视频、图片、文字如涉及作品版权问题,请第一时间告知,我们将根据您提供的证明材料确认版权并按国家标准支付稿酬或立即删除内容!本文内容为原作者观点,并不代表本公众号赞同其观点和对其真实性负责。


为您发布产品,请点击“阅读原文”