
今天,小编要变身英文老师了~我们先从一个单词说起。注意,敲黑板啦
说起这个词,一些美剧迷和游戏迷是不是很熟悉?美剧《生活大爆炸》里,物理天才Sheldon每个星期三晚上都要玩HALO游戏。这款由微软制作的射击游戏,真是深深俘获了宅男物理学家们的心呢。“Today is our halo night!” 图: HALO游戏海报
图:《生活大爆炸》里,Sheldon每个星期三晚上都要玩HALO游戏 Halo的主要含义“晕”,以一种神奇的大气光学现象,出现在我们的生活中。去年五一期间,我国云南丽江等地出现日晕景观,令人叹为观止。图:去年五一期间,我国云南丽江等地的天空出现了超级日晕景观
这种现象的形成是由于太阳光照射在大气层中产生的一种折射现象。卷层云中的冰晶经过太阳照射后会发生折射等物理变化,太阳周围就会出现一个巨大的彩色光环。运气好的时候,也许我们还能见到月晕,形成的原理与日晕一样。有趣的是,核物理学家在对微观世界的探索中,也发现了一些原子核的“晕”现象,并把这些原子核称为halo nuclei(晕核)。我们得先从核素图讲起。我们知道,原子核是由质子和中子构成的,质子和中子统称为核子。核素图以核内的中子数为横坐标,以质子数为纵坐标,形状就像一条狭长的丝带。在下面的核素图中,黑点代表了稳定核素,它们排列组成了β稳定线。在原子核的丰质子一侧和丰中子一侧,各有一条边界线,也就是图中黄色区域的外轮廓线,被科学家们称为原子核“滴线”。理论预言,人们可能观测到的核素约为9000多种,已发现和人工合成的核素约3400多种。随着质子数或中子数的增加,原子核将逐渐远离β稳定线,因此会逐渐变得弱束缚,甚至非束缚。滴线外的核子是非束缚的。滴线附近的原子核,就像快要涨破的液滴,非常不稳定。在这些原子核中也会出现一些奇特的物理现象,如晕现象。在晕核中,处于表面的核子微弱地束缚在“核芯”周围,部分核子广泛地弥散到离“核芯”较远的位置,在分布上形成一个环,与日晕等现象类似。因此,这种奇特的原子核,被科学家们称之为“晕核”。第一个实验发现的典型晕核——11Li,是锂的一种同位素,由Tanihata等人于1985年在美国伯克利国家实验室(LBNL)发现。晕核的发现展示了原子核呈现出的多样性,扩展了我们对原子核多体系统的认识。 一般而言,原子核的半径会随着核子数的增加而增大。然而晕核的半径却表现出了奇特的性质。11Li原子核的两个中子束缚很弱,形成了中子晕,导致11Li的半径异常大。仅由11个核子组成的11Li原子核,半径竟然和由208个核子组成的铅核208Pb差不多。自从11Li的中子晕现象被发现以来,核物理学家又相继发现了多个晕核,包括单核子晕与双核子晕。
图:实验上已发现的较轻的晕核 图:双核子晕(左)与单核子晕(右)
晕核的发现也吸引了许多理论物理学家运用不同的理论模型对其进行解释,并预言未知的晕核。作为壳模型的扩展,Gamow壳模型可以很好地描述晕核的奇特结构。最近,来自中科院近代物理所和北京大学的研究人员,利用Gamow壳模型,计算分析了31F的晕结构。
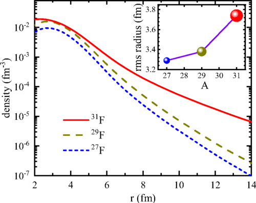
在中等质量核区,31F是比较特殊的原子核,它是氟同位素的滴线原子核。此前也有实验提出31F有可能表现出与11Li类似的性质,是一个双中子晕核。 研究人员计算了滴线区同位素27,29,31F的原子核半径和密度分布。分析表明,与27,29F原子核相比,31F中微弱束缚的价核子弥散到比较远的空间中,而且31F的原子核半径也显著增加。 图:研究人员计算了同位素27,29,31F的原子核半径以及密度分布
根据模型计算的原子核性质,研究者们推测31F是一个与11Li类似的双中子晕,并提议实验核物理学家开展进一步的实验论证,来验证31F的双中子晕特性。
该成果以快速通讯(Rapid Communications)的形式发表在期刊Physical Review C上。
感兴趣的同学可以点击链接阅读论文哦:
https://journals.aps.org/prc/abstract/10.1103/PhysRevC.101.031301
参考资料:
1. Peter Möller et al. New Finite-Range Droplet Mass Model and Equation-of-State Parameters. Phys. Rev. Lett. 108, 052501 (2012)
2. I. Tanihata et al. Measurements of Interaction Cross Sections and Nuclear Radii in the Light p-Shell Region. Phys. Rev. Lett. 55 (1985) 2676
3. I. Tanihata et al. Recent experimental progress in nuclear halo structure studies. Prog. Part. Nucl. Phys 68 (2013) 215-313
4. J. Al-Khalili, An Introduction to Halo Nuclei, Lect. Notes Phys. 651, 77-112 (2004)J.
版权说明:欢迎个人转发,媒体或机构转载授权请联系media@impcas.ac.cn

编辑:Lemon
