
来源:中科院物理所(ID:cas-iop)
作者:Norma
随着天气转暖,小编也把厚厚的棉衣收了起来,换上了轻便的春装。然而…没有了厚衣服的遮挡,过年不慎补充的全身脂肪覆盖层变得尤为突出…

为了以全新的面貌迎接春天,小编也开始了“全身脂肪覆盖层无痛消除术”,然而在跑步机上跑着跑着,想到了中午为了减肥才吃的宝塔菜,忽然感觉自己陷入了一个巨大的谜团,怎么这种蔬菜的形状越想越奇怪???

经过一番缜密的思考,小编认为努力思考同样可以达到“全身脂肪覆盖层无痛消除术”的目的,进而将每日份的运动替换为每日份思考宝塔菜…没想到,小小的宝塔菜背后的故事这么引人入胜…

可预测性
在我们从小到大学习知识的数理课堂中,我们逐渐感受到世界是充满秩序的:已知表达式和定义域的函数,其曲线走向是可预测的;已知化学反应的反应物与反应条件,生成物是可预测的;已知运动物体的初始位置与运动规律,接下来任意时刻的速度与位置是可预测的…
我们对科学带来的这种“可预测性”的印象,一部分源于伽利略(Galileo Galilei)和牛顿(Issac Newton)对钟摆摆动的研究。
1581年,伽利略观察吊灯的摆动时,意识到了摆动这个现象存在着可被预测的规律。经过一段时间的观察,伽利略发现尽管摆动幅度不同,但晃动吊灯来回摆动一次的时间是一样的。

图片来源:pixabay
为了对这个有趣的现象进行进一步的探究,伽利略用大小不同、长度相同的钟摆进行摆动周期实验,他用自己的脉搏来计时。
最终证实了钟摆的摆动时间不取决于器大小,也不取决于其位置,只取决于其长度。在伽利略的这项研究开始,钟摆的摆动变得可预测了。
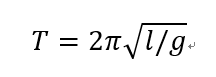
在伽利略之后,牛顿利用微分方程得到了钟摆的长度(l)与摆动周期(T)之间的精确数学关系:

这使得我们在“可预测性”上有了更大的进展,钟摆摆动的运动规律不仅可以被定性的预测,还可以被精确地定量预测。
我们知道,牛顿发现了许多现象背后的定律,并且发明了微积分等数学方法作为有力的工具帮助我们理解宇宙的基本定律。
其中,我们最为熟悉的牛顿三大定律简洁优美的描述了宏观物体的运动规律。也让我们认识到,将运动现象背后的规律用数学公式来描述,特别是微分方程,可以精确地描述运动如何随时间演化,也就是可预测性。
可预测性无疑是让人着迷的,但仔细想想,是否所有的现象都可以用这种以“可预测性”为基础的科学思想来描述呢?
混沌(Chaos)
从“是否可被预测”出发,我们可以想到很多非常贴近日常生活的例子:长期天气预报、动物种群数量的发展,等等。这些例子中似乎隐藏着更加迷人的“不可预测性”。
我们无法通过微分方程精确的获得大气运动的信息,这些例子比起“钟摆摆动”这样的例子有什么不同呢?
想到“不确定性”,我们可能会对其概念感到陌生和模糊,从科学研究的角度出发,不确定性被定义为“系统前后不同时刻间存在的某种随机关系,而从统计学意义上来讲,主要表现为当下与未来之间的因果关系”。
“不确定性”吸引着研究者们,逐渐发展出了一门新兴的学科——混沌(Chaos)。
在19世纪80年代末,从Henri Poincaré对天体力学中的三体问题的研究开始,混沌就开始出现在了科学研究领域。

Edward Lorenz | 图片来源 [3]
直到1963年,麻省理工学院的一位气象学家Lorenz的研究认为对于确定性的可预见性是一种错觉,并由此产生了一个仍然蓬勃发展的领域——混沌理论。
混沌理论认为哪怕是最简单的方程式(不含任何随机因子),一切可知,只要运行过程中出现一点点偏差,结果也会跟最初的设想大相径庭。
蝴蝶效应——敏感依赖性
在当时,预测天气有两种方式:第一,使用线性程序预测天气,其前提是明天的天气是今天天气特征的一个定义良好的线性组合;第二,通过模拟大气流动的流体动力学方程来更准确地预测天气。
在一次对比这两种计算方式时,Lorenz发现计算机模拟得出两个月以后的天气数据与以往的大不相同。然而Lorenz发现这次计算的“错误”竟然源自模拟过程中初值的四舍五入。
由此,Lorenz发现了混沌的一个定义性质——对初值的敏感依赖性。下图中的这里球体代表洛伦兹方程的迭代。

洛伦茨吸引子 | 图片来源 [3]
1972年,在一次会议中,Lorenz讲述了一个题为“可预测性:巴西蝴蝶扇动翅膀会在德克萨斯州引发龙卷风吗?”的报告。
他用一只蝴蝶来比喻一个微小的、看似无关紧要的、可以改变天气进程的微扰——也就是我们所熟知的“蝴蝶效应”。

图片来源:pixabay
读到这里,你可能会自然而然的产生的一个疑问:计算机模拟通常会在某一时刻引入舍入误差,而这个误差会被混沌所放大,那么Lorenz的解可以反应真实的混沌轨迹吗?
答案是肯定的,这是因为一种被称为“阴影”(Shadowing)的特性:尽管对于任何给定的初始条件,数值轨迹都与精确的轨迹不同,但在附近总存在一个初始条件,它的精确轨迹在预先规定的一段时间内被数值轨迹近似。
混沌吸引子(Chaotic Attractor)
通过对混沌系统的研究,Lorenz在1963年正式提出了洛伦兹方程,其典型的轨迹往往会收敛到一个非整数的有界结构,如上图所示,被称为混沌吸引子(Chaotic Attractor)。
混沌吸引子的引入可以方便我们理解,混沌系统由于对初值具有敏感依赖性,其轨迹何时会发生“混乱”。
首先,位于吸引子上的轨迹会表现出不同于线性系统的混沌行为,除此之外,任何位于吸引子吸引域内的点同样会产生向吸引子收敛的混沌轨迹。
由于混沌吸引子的存在,不同于单摆轨迹存在周期性,混沌系统中则是不存在周期性轨迹的,或者可以说——周期性轨迹是发散的。
这也是混沌的本质特征:非周期性意味着敏感依赖,敏感依赖是非周期性的根本原因。
是不是从上面的概念走出来已经有点云里雾里了?没关系,宝塔菜这不就要来了吗!

提到混沌,总是离不开另一个概念——分形。比起前面提到的抽象概念,分形更加具象化,在日常生活中也有很多例子。

宝塔菜形貌 | 图片来源:pixabay

树枝的分形 | 图片来源:pixabay

曼德勃罗集 | 图片来源:pixabay
通过以上三幅图片我们可以看出,分形似乎是指从小尺度到大尺度图形的相似性,那么,分形的准确的定义是什么呢?
分形结构或分形过程可以粗略地定义为具有在尺度上保持恒定的特征形式,即具有自相似的性质。
如果一个结构的小尺度形式与大尺度形式相似,那么它就是分形的。
仔细想想,宝塔菜给我们奇怪的感觉似乎就来源于分形,它的形貌和我们通常接触到的几何图形都不同。
从混沌到分形
在上文中,我们分别介绍了混沌与分形,这二者之间的关系又是什么样子的呢?
混沌吸引子通常是分形的。我们可以考虑混沌吸引子附近相空间中点的轨迹:受到混沌吸引子的影响,附近相空间中的点会表现出非线性的趋势,即分别在不同的方向上受到混沌吸引子的拉伸和收缩。
在拉伸和收缩的共同作用下,相空间中的点会形成“细丝”,由于轨迹是有界的,这些“细丝”会自然而然的折叠。
当混沌吸引子带来的这种影响无限期的重复,产生的结果就是分形。
类似于我们通过图像可以获得相关的物理信息,混沌吸引子的几何结构可以定量地与其动力学特性相关。
混沌、分形这些概念听起来特变抽象,比起Lorenz研究的气象系统,有没有更加生动简单的例子可以反映出混沌理论的思想呢?
生物学中的混沌
混沌理论竟然和生物学领域高度相关,用这种思想进行生物学研究的科学家同样也让小编感到意外——艾伦·麦席森·图灵(Alan Mathison Turing)。
图灵对胚胎发育过程进行了深刻的思考,他认为可以用简单的数学公式来描述这个复杂的过程。
最开始,胚胎内部的细胞是完全一样的,会按照简单规律进行自组织,自组织的过程不断重复,直到某个阶段开始会突然呈现复杂模式,逐渐形成各种不同的细胞,最终发育成不同的器官——这个过程被称为形态发生。
图灵尝试用数学来解释生命体如何从自然、均匀的状态逐渐演变成不均匀的重复图案,即从自组织到模式出现的过程。
另一方面,著名的别洛乌索夫(Belousov)振荡实验也是自组织导致模式自发形成的例子。
他发现,将两种溶液混合形成有色液体,液体变得澄清,再变为有色…一直循环往复这一过程。

别洛乌索夫振荡反应 | 图片来源
别洛乌索夫溶液自发产生的随机涟漪图案状说明:系统在不受外部条件因素干扰的情况下可以自发无规律变化。这同样是由自组织到模式形成的例子。
宝塔菜的分形
学习了这么多有关混沌、分形在数学领域和生物学领域的知识,我们依然要不忘初心——那为啥宝塔菜长分形了呢?
首先,我们需要了解植物的器官是怎么发育而来的——在整个发育过程中,植物分生组织定期以螺旋、对生或轮生方式产生器官。
想想普通的花菜,其特殊的结构源于每一个分生组织产生的初生花原基都没有最终发育到开花阶段,而是重复性的产生了更多相同的初生花原基,类似于一个发育过程中的“雪崩”效应。

花菜 | 图片来源:pixabay
而宝塔菜结构的自相似性是因为分生组织虽然最终不能形成花,但在发育过程中,初生花原基短暂的出现了一个“魂穿”的过程,即短暂的保持着花的“记忆”。
这一短暂的过程影响分生组织的生长,产生了额外的突变,可诱导产生圆锥形结构,最终形成了具有自相似特征的圆锥结构,也就是分形。

宝塔菜的分形结构 | 图片来源:pixabay
想不到寻常的宝塔菜背后竟然隐藏着这么多复杂的知识点,果然是最高端的知识只需要最朴素的展现方式啊~
现在,无论是混沌还是分形,都逐渐与物理、数学、生物、化学等领域进行融合,交叉发展出了很多新奇有趣的成果,你还知道哪些相关的有趣现象呢?
参考文献
[1] 陈璐. 一个具有自组织结构超混沌系统的控制与同步研究[D].东北师范大学,2019.
[2] 王翔. 分布混沌理论及其应用研究[D].大连理工大学,2021.
[3] Physics T oday 66, 5, 27 (2013).
[4] The Secret Life of Chaos, BBC.
[5] Sean Bailly,L’art fractal du chou romanesco, Pour la Science, Septembre, 9, (10-11), (2021).
文中未标明来源的表情包图片均来源网络
编辑:Norma

编辑:近水楼台
